



1.设
a
是使
的实数,证明:
2.设 a , b 是实数,对所有正整数 n ≥2, a n +b n 都是有理数,证明: a+b 是有理数.
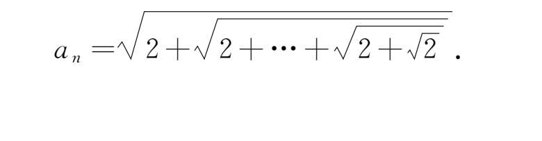
3.求如下定义的有 n 个根号的数的精确公式:
4.求方程
的实根.
5.如图5-1所示,设P 1 是正△ABC的边AB上一点,从P 1 向边BC作垂线,垂足为Q 1 ,从Q 1 向边CA作垂线,垂足为R 1 ,从R 1 向边AB作垂线,垂足为P 2 ,如此继续下去,得点Q 2 ,R 2 ,P 3 ,Q 3 ,R 3 ,…,问当n→ ∞时,点P n 无限地接近于哪一个点?
图5-1
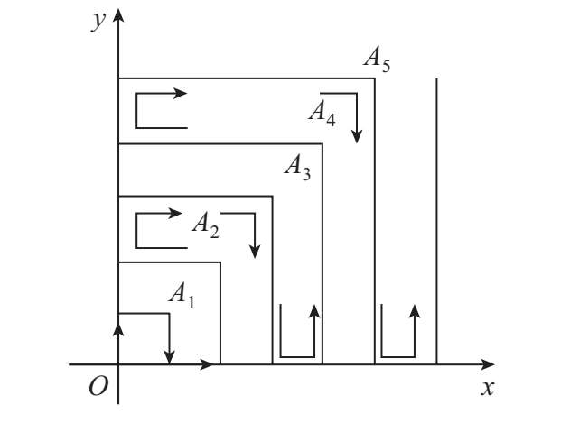
6.如图5-2所示,一个粒子在第一象限运动,在第一秒内,它从原点运动到(0,1),然后接着按图所示在 x 轴、 y 轴的平行方向来回运动(即(0,0)→(0,1)→(1,1)→(1,0)→(2,0)→…),且每秒移动一个单位长度,求2004秒时这个粒子所处位置的坐标.
图5-2
7.黑板上写着一个数0,小华想在0后面写10个非负整数,使得每一个数都是它前一个数加1或减1所得,且其中最大数为3.请问小华有多少种不同的写数方法?
8.某省电视台某天有n次插播广告时刻,一共播了m条广告。第一次播了一条以及余下m-1条的
,第二次播了两条以及余下的
,以后每次按此规律插播广告,在最后一次即第n次播了余下的最后n条广告(n >1).问这天有几次播放广告时刻?并求广告的条数m.
9.求1,2,…, n 的圆形排列中满足│ p ( i )- i │≤1(对任何 i )的排列 p 的个数 b n 的值.
10.是否存在一个无穷正整数集 A ,使得它的任一非空有限子集的元素之和均为合数,且 A 中任两个元素互素?
11.已知函数 f :{1,2,…, n }→ {1,2,3,4,5},且对一切 k =1,2,…, n -1,有
求函数 f 的个数.