



1.已知数列{
a
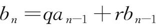
n
}满足
.,且
a
1
+a
2
+…
+a
n
=
n
2
a
n
(
n
≥2),则
a
n
=___.
2.已知数列{
a
n
}和{
b
n
},其中
a
1
=
p
,
b
1
=
q
.若
,
(
p
,
q
,
r
为常数,且
q
>0,
p
>
r
>0,
n
≥2),则
b
n
=
___.
3.在数列{ a n }中, a 1 =1, a n +1 = -a n +n 2 ,则 a n =___.
4.在数列{
a
n
}中,
,
,则
a
n
=___.
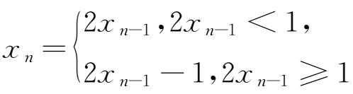
5.给定0≤
x
0
<1,对于一切整数
n
>0,令
, 则使
x
0
=
x
5
成立的
x
0
的个数是___.
6.数列{ a n }定义如下:
则 a n = ___.
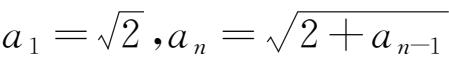
7.在数列{
a
n
}中,
,则
a
n
=
___.
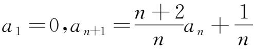
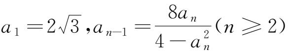
8.在数列{
a
n
}中,
,则
a
n
=
___.
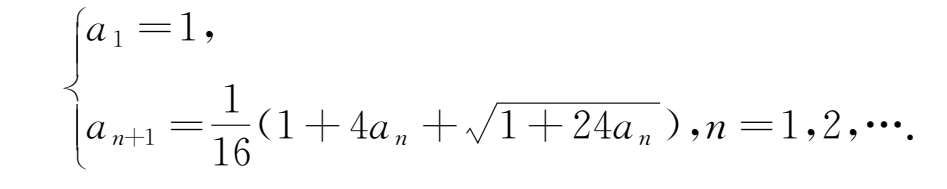
9 .已知数列{
a
n
}满足
,求数列{
a
n
}的通项公式.
10.设数列{
a
n
}满足
(1)设
,证明:若
a
≠
b
,则{
b
n
}是等比数列;
(2)若
=4,求
a
,
b
的值.
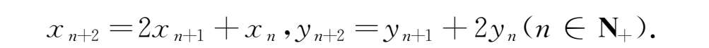
11.正数数列{ x n },{ y n }满足:
证明:存在正整数 n 0 ,对任意正整数 n > n 0 ,有 x n > y n 恒成立.