



1.数列1,(1+2),(1+2+2 2 ),…,(1+2+2 2 +…+2 n -1 ),…,前 n 项之和用 n 来表示是___.
2.设
.,
n
=1,2,3,…,则
a
1
+a
2
+…
+a
99
的值为___.
3.若
,则
的值为___.
4.数列1,2,1,2,2,1,2,2,2,1,2,2,2,2,1,2,…,其相邻的两个1被2隔开,第 n 对1之间有 n 个2,则数列的前1234项的和为___.
5.如图3-1所示,设正三角形
T
1
的边长为
a
,
T
n
+1
是
T
n
的中点三角形,
A
n
为
T
n
除去T
n
+1
后剩下的三个三角形内切圆面积之和,则
=___.
图3-1
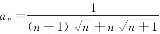
6.数列{
a
n
}满足
,则
=
___.
7. k 为正整数, g ( k )表示 k 的最大奇因数(例如 g (3)=3, g (20)=5),则 g (1) +g (2)+ g (3)+… +g (2 n )(其中 n ∈ N + )= ___.
8.已知一个数列的各项是1或2,首项为1,且在第
k
个1和第
k
+1个1之间有
个2,即 1,2,1,2,2,1,2,2,2,2,1,2,2,2,2,2,2,2,2,1,…,则这个数列的前 1998 项的和等于___.
9. n 2 ( n ≥4)个正数排成 n 行 n 列,
其中每一行的数成等差数列,每一列的数成等比数列,并且所有公比都相等,已知
a
24
=1,
a
42
=
, 求
S=a
11
+a
22
+a
33
+…
+a
nn
.
10.一只蜜蜂从点 P 0 开始飞行,它向东飞行1英寸到达点 P 1 .一旦到达点 P j ( j ≥1),便立刻向逆时针30 ° 方向飞行 j +1英寸,直接到达点 P j +1 .问:当蜜蜂到达点 P 2015 时,它距点 P 0 有多少英寸?
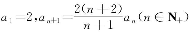
11.已知实数列{a
n
}满足:
,且对任意n ∈N
+
,有
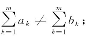
,设C为所有满足上述条件的数列{an}的集合.
(1)求 q 的值;
(2)已知{
a
n
}⊆
C
,{
b
n
}⊆
C
,且存在
n
0
≤
m
,满足
a
n
0
≠
b
n
0
,证明:
(3)设集合
,
m
∈
N
+
,求
A
m
中所有正数之和.