



1.求证:一个角为120 ° 的等腰三角形,可以分割成 n ( n ≥4)个与它相似的三角形.
2.设
n
是正整数,求证:
3.设
n
是正整数,求证:
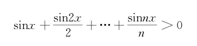
4.设数列{
a
n
}满足
(1)当 a 1 =2时,求 a 2 , a 3 , a 4 ,并由此猜想出 a n 的一个通项公式.
(2)当 a 1 ≥3时,求证:对所有的 n ≥1,有
(i) a n ≥ n +2;
(ii)
5. n 个平面最多可以将空间分成多少个部分?
6.设函数
f
(
x
),
n
∈
N
+
,满足
f
(
x
+1)=sin
,求证:
7.证明:不等式
对任意 x ∈ (0,π)成立.
8.求证:每一个正整数n有一个二进制表示法。也就是说,要证明每一个正整数n能表示为
这里每一个 c i 都取0或1.
9.设 S 是2002个元素组成的集合, N 为整数,满足0≤ N ≤2 2002 ,求证:可将 S 的所有子集染成黑色或白色,使下列条件成立.
(1)任何两个白色子集的并集是白色;
(2)任何两个黑色子集的并集是黑色;
(3)恰好存在 N 个白色子集.
10.盒中装有红色和蓝色纸牌各100张,每色纸牌都含标数为1,3,3 2 ,…,3 99 的牌各一张,两色纸牌的标数总和记为 S .对于给定的正整数 n ,若能从盒中取出若干张牌,使其标数之和恰为 n ,便称为一种取牌 n _方案,不同的 n _方案种数记为 f ( n ).求 f (1) +f (2)+… +f ( S )之值.
11.如图30-1所示,将边长为正整数 m , n 的矩形划分成若干边长均为正整数的正方形,每个正方形的边均平行于矩形的相应边.求这些正方形边长之和的最小值.
图30-1