



1.求所有的
n
∈
N
+
,使得方程组
具有正数解
x
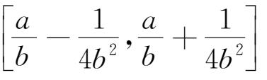
1
,
x
2
,…,
x
n
,并对求得的
n
给出相应的解.
2.求方程组
的所有实数解.
3.已知 f ( x )是定义在 R 上的函数, f (1)=1,且对任意 x ∈ R 都有 f ( x +5)≥ f ( x )+5, f ( x +1)≤ f ( x )+1.若 g ( x )= f ( x )+1- x ,求 g (2002).
4.已知数列{
a
n
}中,
求
a
2007
.
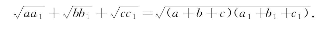
5.求证:边长为 a , b , c 及边长为 a 1 , b 1 , c 1 的两个三角形相似的充分必要条件是
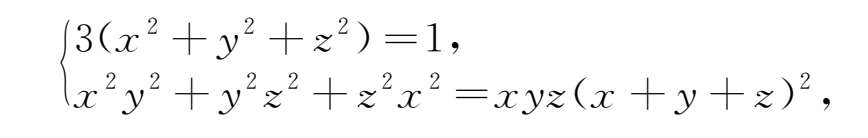
6.求方程组
的所有实数解( x , y , z ).
7.对任意 n ∈ N + 与 a ∈ R ,解方程组
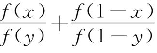
8 .设函数
f
(
x
)满足:对任意
x
,
y
∈(0,1),
f
(
x
)>0,
≤2,求
f
(
x
).
9 .把(0,1]中每个有理数写成
,gcd(
a
,
b
)=1,并用区间
盖住
.
证明:数
没有被盖住.
10.一张纸上画有半径为 R 的圆 O 和圆内一定点 A ,且 OA=a .折叠纸片,使圆周上某一点 A' 刚好与 A 重合,这样每一种折法都留下一条直线折痕.当 A' 取遍圆周上所有点时,求所有折痕所在直线上点的集合.
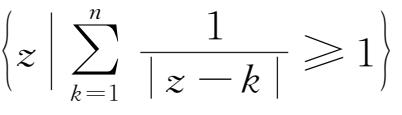
11.设
n
是给定的正整数,
R
是复平面上平面区域:
M
=
的面积.
求证:
(11
n
2
+1).