



1.不等式
的解集是∅,实数
t
的取值范围是___.
2.使关于 x 的不等式 x -3 + 6- x ≥ k 有解的实数 k 的最大值是___.
3.若
x
∈ (1,2)总满足关于
x
的不等式
< 1,则实数
a
的取值范围是___.
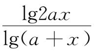
4.若不等式
<0 对于任意实数
x
都成立,则
k
的取值范围是___.
5.若函数 f ( x )=lg[( k 2 -1) x 2 -( k +1) x +1]的值域是 R ,则实数 k 的取值范围是___.
6.不等式sin 2 x +a cos x +a 2 ≥1+cos x 对一切 x ∈ R 成立,则实数 a 的取值范围为___.
7.若
,使cos
2
θ
+2
m
sin
θ
-2
m
-2<0恒成立,则实数
m
的取值范围为___.
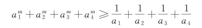
8.若正整数 m 使得对任意一组满足 a 1 a 2 a 3 a 4 =1的正数 a 1 , a 2 , a 3 , a 4 均有
成立,则正整数 m 的最小值为___.
9.求最小的实数 A ,使对每个满足条件 |f ( x ) | ≤ l (0≤ x ≤1)的二次三项式 f ( x ),适合不等式 f' (0)≤ A .
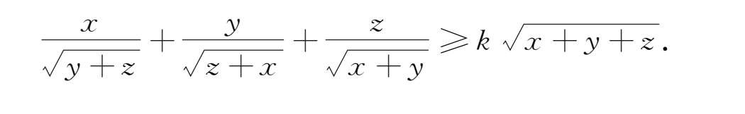
10.求最大的常数 k ,使对 x , y , z ∈ R + 都有
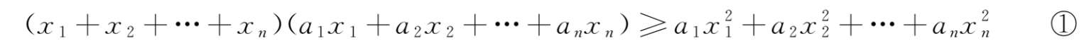
11.设 a 1 , a 2 ,…, a n 是实数,求不等式
对于所有非负实数 x 1 , x 2 ,…, x n 恒成立的充分条件.