



1.当 α >1时,观察函数 y=x α ( α >0)的图像.
(1)设 α >1,试用 y=x α ( α >0)的图像说明:当 x 1 >0, x 2 >0时,不等式
成立.
(2)利用(1)中不等式求证:若0< s < t ,则对任意的正数 x 1 , x 2 ,不等式
成立.
(3)当
x
>0,
y
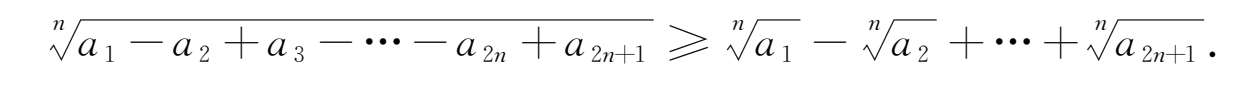
>0,且
=16时,求
x
2
+y
2
的最小值.
2.设
x
>0,
y
>0,求证:
x
ln
x+y
ln
y
≥(
x+y
)ln
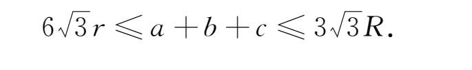
3.设 a , b , c 是△ ABC 的三边长, r , R 分别是△ ABC 的内切圆半径与外接圆半径,求证:
4.设0< x i <π, i =1,2,…, n.
(1)求证:
(2)令
,求证:
5.设
x
i
>0(
i
=1,2,…,
n
),
a
∈
R
+
且
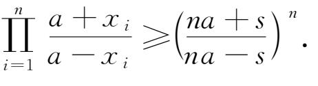
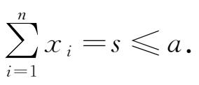
求证:
6 .设
x
i,
y
i
∈
R
+
(
i
=1,2,…,
n
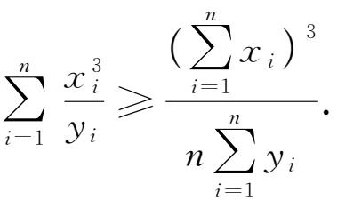
),求证:
7.已知 f 在区间 I ⊂ R 上是凸函数,求证:对区间 I 上的任意三点 a < b < c ,有
8.已知
是正数,求证:
9.对正整数
n
>1,有
n
个正数
a
1
,
a
2
,…,
a
n
满足
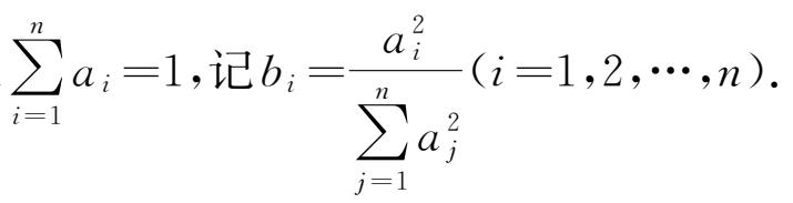
求证:
,并指出等号何时成立.
10.设n 2 个非负实数a ij (1≤i,j≤n)满足a 1j +a 2j +…+a nj =1,及a i1 +a i2 +…+a in =1.又知x k (1≤k≤n)是n个非负实数,且y i =a i1 x 1 +a i2 x 2 +…+a in x n (1≤i≤n),
求证: y 1y2… y n ≥ x 1 x 2 … x n .
11 .求证:-1<
(
n
=1,2,…).