



1.若 p ≥0,则方程 x 3 +px+q =0有___个实数根.
2.函数
的最大值为___.
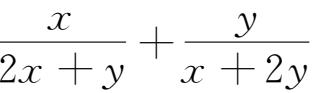
3.已知
x
,
y
为正数,则
的最大值为___.
4.方程 x 2 = x sin x +cos x 有___个实数解.
5.设函数 f ( x )在 R 上存在导数,对任意 x ∈ R 有 f (- x ) +f ( x )= x 2 ,且在(0,+∞)上, f' ( x )> x .若 f (2- a )- f ( a )≥2-2 a ,则实数 a 的取值范围为___.
6.设函数 f ( x )是 R 上以5为周期的可导偶函数,则曲线 y=f ( x )在 x =5处的切线的斜率为___.
7.数
称为函数
f
(
x
)与
g
(
x
)在闭区间[
a
,
b
]上的绝对差,则函数
f
(
x
)=
x
2
与
g
(
x
)=
x
3
在闭区间[0,1]上的绝对差是___.
8.方程2 x +3 x +4 x = x 2 的解的个数为___.
9.已知正数 a , b , c 满足 abc =1,求证: a 2 +b 2 +c 2 ≤ a 3 +b 3 +c 3 .
10.已知
,求证:sin
2
x
≤sin
x
2
.
11.(1)设函数 f ( x )= x log 2 x +(1- x )log 2 (1- x )(0< x <1),求 f ( x )的最小值;
(2)设正数 p 1 , p 2 ,…, p 2n 满足 p 1 +p 2 +… +p 2n =1,求证: