



1.设 x , y 是任意实数,且 x+y =2,求 x 2 x +y 2 y 的最小值.
2.设
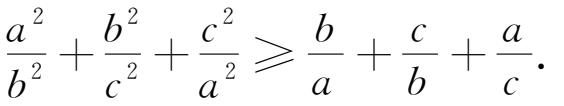
a
,
b
,
c
是正数,求证:
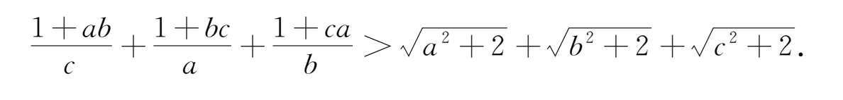
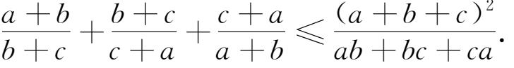
3 .设
a
,
b
,
c
是正数,求证:
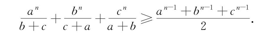
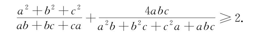
4.设
a
,
b
,
c
是正数,求证:
5.设
a
,
b
,
c
是正数,求证:
6.设 a , b , c 是非负实数,且其中没有两个为0,求证:
7.已知 α+β+γ =180 ° , α , β , γ ≥0,求3cos α +4cos β +5cos γ 的最小值.
8.已知 a , b , c 是正数, n 是正整数.求证:
9.对于任意正数 a , b , c ,求证:
10.已知 a 1 , a 2 ,…, a n 是正数,且 λ=a 1 +a 2 +… +a n ,求证:
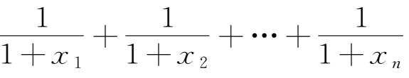
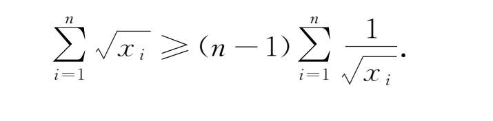
11.设
x
1
,
x
2
,…,
x
n
是正数,且满足
=1,求证: