



1.函数
的最大值为___.
2.函数
的最大值和最小值分别是___.
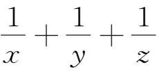
3.设
x
,
y
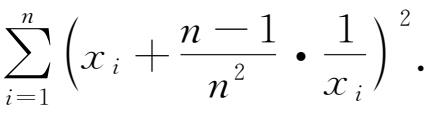
,
z
∈[0,1],则
.的最大值是___.
4.设
x
,
y
,
z
是大于1的实数,满足
=2,求证:
5.设 a , b , c ∈ R + 且 a+b+c =1.求证:
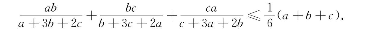
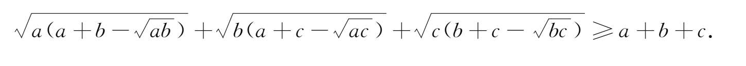
6.求证:对任意的 a , b , c ∈ R + ,都有
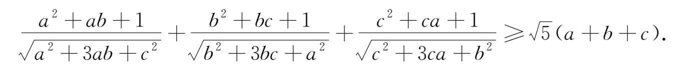
7.设正数 a , b , c 满足 a 2 +b 2 +c 2 =1,求证:
8.已知
,
i
=1,2,…,
n
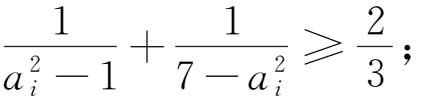
,其中正整数
n
≥2.
(1)求证:对于一切正整数
i
,都有
(2)求
的最小值,约定
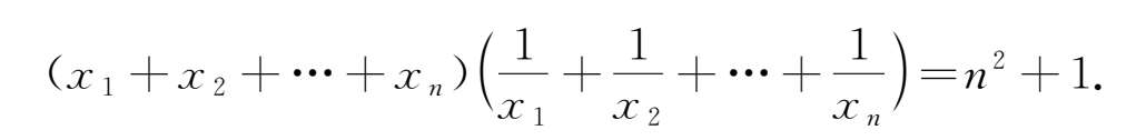
9.设
x
1
,
x
2
,…,
x
n
∈
R
+
,定义
S
n
=
(1)求 S n 的最小值;
(2)在
条件下,求
S
n
的最小值;
(3)在 x 1 +x 2 +… +x n =1条件下,求 S n 的最小值.
10.设△ ABC 的三边长 a , b , c 满足 a ≥ b ≥ c .求证:
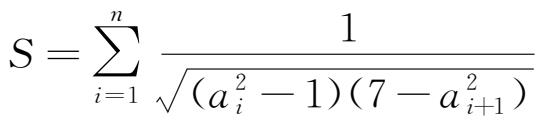
11.设正整数 n >2,正数 x 1 , x 2 ,…, x n 满足
求证: