



1.已知 x , y , z 均为正实数,且满足 xyz =32,求 x 2 +4 xy +4 y 2 +2 z 2 的最小值.
2.设 x , y , z ∈ R + , x+y+z =1,求函数 f ( x , y , z )= xy 2 z 3 的最大值.
3.设
a
,
b
,
c
是一个半周长等于1的三角形的三边,求证:1<
ab+bc+ca
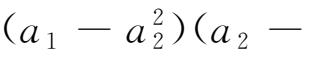
-
abc
≤
4.设正数 x , y , z 满足 xyz=x+y+z +2,求证: xyz ( x -1)( y -1)( z -1)≤8.
5.设
x
,
y
,
z
≥0,
x+y+z
=1,求证:
x
2
y
2
+y
2
z
2
+z
2
x
2
+x
2
y
2
z
2
≤
6.已知tan θ 1 tan θ 2 …tan θ 10 =1,求sin θ 1 sin θ 2 …sin θ 10 的最大值.
7.设 a 1 , a 2 ,…, a n 为正实数,且 a 1 +a 2 +… +a n <1,求证:
8.设数列{a
n
}满足条件:a
1
=1,a
2
=2,且
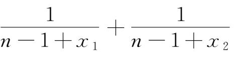
(n=1,2,3,…),求证:对于任何正整数n,都有
9.设 n 为正整数, x 1 , x 2 ,…, x n +1 为正实数,并且 x 1 x 2 … x n =1.求证:
10.设实数a
1
,a
2
,…,a
2016
满足
(i=1,2,…,2015),求
的最大值.
11.已知正数x
1
,x
2
,…,x
n
,且x
1
x
2
…x
n
=1,求证:
+ …+
≤1.