



1.设 a , b ∈ R + , n ∈ N + ,求证:
2 .若正数
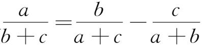
a
,
b
,
c
满足
,求证:
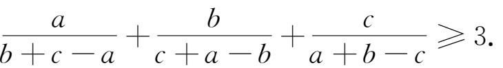
3.已知
a
,
b
,
c
是三角形的三条边.求证:
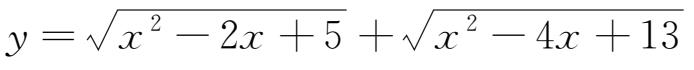
4.求函数
的最小值.
5.在单位正方形的每条边上各取一点,所取四点是边长为 a , b , c , d 的四边形的顶点,求证:(1)2≤ a 2 +b 2 +c 2 +d 2 ≤4;
(2)
≤
a+b+c+d
≤4.
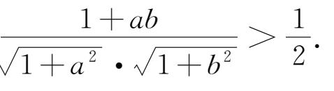
6.设
a
,
b
,
c
∈
R
,
a
≠
b
,求证:
7.求证:任意四个不同的实数中,存在两个数
a
,
b
,使得
8.设
=1,
x
i
>0,求证:
9.求证:对任意正整数
n
,不等式
成立.
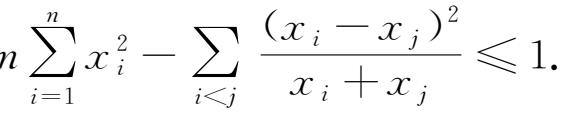
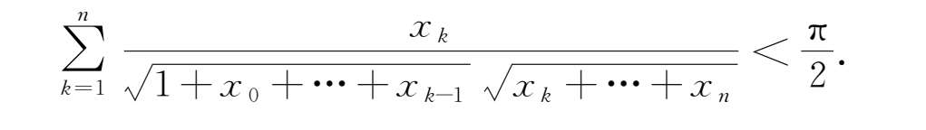
10.设有 n 个实数 x 1 , x 2 ,…, x n ,满足条件:
其中
x
1
,
x
2
,…,
x
n
中最小者为
a
,最大者为
b
,分别记作
a
=min{
x
1
,
x
2
,…,
x
n
},
b
=max{
x
1
,
x
2
,…,
x
n
}.求证:
.
11.已知
x
0
=0,
x
1
,
x
2
,…,
x
n
>0,且
=1,求证: