



1.已知正数
a
,
b
,
c
满足
a+b
<2
c
,求证:
c
-
2.求证:若 x , y ∈ R ,则 x 2 +y 2 +xy ≥3( x+y -1)恒成立.
3.设 a , b , c 为正数, α 是实数,求证:
当且仅当 a=b=c 时,等号成立.
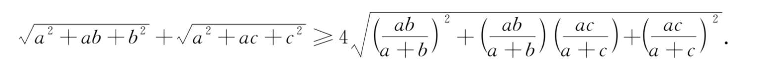
4.设 a , b , c 为正数,求证:
5.设正实数 a , b , c 满足 abc =1,求证: a ( a -1) +b ( b -1) +c ( c -1)≥0.
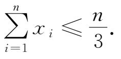
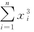
6 .设
x
1
,
x
2
,…,
x
n
≥-1,
=0,求证:
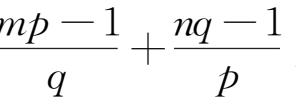
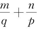
7.设
p
,
q
是两个不同的素数,正整数
m
,
n
使得
是整数.求证:
>1.
8.设实数 a , b , c , d , p , q 满足关系式 ab+cd =2 pq ,求证:如果 ac ≥ p 2 >0,则有 bd ≤ q 2 .
9.已知实数 a , b 满足9 a 2 +8 ab +7 b 2 ≤6,求证:7 a +5 b +12 ab ≤9.
10.对任意正整数 n >2,求证: n n + 1 >( n +1) n .
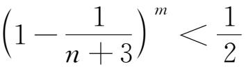
11.已知 m , n 为正整数.
(1)用数学归纳法证明:当 x >-1时,(1 +x ) m ≥1 +mx ;
(2)对于
n
≥6,已知
,求证:
,
m
=1,2,…,
n
;
(3)求出满足等式3 n +4 n +…+( n +2) n =( n +3) n 的所有正整数 n .