



1.随机变量
ξ
的取值为0,1,2,若
P
(
ξ
=0)=
,
E
(
ξ
)=1,则
D
(
ξ
)=
___
.
2.已知随机变量 Χ 服从二项分布 Β ( n , p ),若 Ε ( Χ )=30, D ( Χ )=20,则 p=___.
3.先后掷两次骰子(骰子的六个面上分别是1,2,3,4,5,6点),落在水平桌面后,记正面朝上的点数分别为 x , y ,记事件 A 为“ x+y 为偶数”,事件 B 为“ x , y 中有偶数且 x ≠ y ”,则概率 P ( B|A )的值为___.
4.同时抛掷两枚质地均匀的硬币,当至少有一枚硬币正面向上时,就说这次试验成功,则在两次试验中成功次数 X 的均值是___.
5.一个均匀小正方体的六个面中,三个面上标数字0,两个面上标数字1,一个面上标数字2.将该小正方体抛掷两次,则向上的数的积的数学期望为___.
6.在一组样本数据
(
n
≥2,
x
1
,
x
2
,…,
x
n
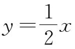
不全相等)的散点图中,若所有样本点(
x
i
,
y
i)(
i
=1,2,…,
n
)都在直线
+1上,则这组样本数据的样本相关系数为___.
7.设0< a <1,若随机变量 X 的分布列是
则 D ( X )的最小值为___.
8.为了研究某班学生的脚长
x
(单位:厘米)和身高
y
(单位:厘米)的关系,从该班随机抽取10名学生,根据测量数据的散点图可以看出
y
与
x
之间有线性相关关系,设其回归直线方程为
.已知
该班某学生的脚长为24,据此估计其身高为___.
9.某险种的基本保费为 a (单位:元),继续购买该险种的投保人称为续保人,续保人本年度的保费与其上年度出险次数的关联如下.
设该险种一续保人一年内出险次数与相应概率如下.
(1)求该续保人本年度的保费高于基本保费的概率;
(2)若该续保人本年度的保费高于基本保费,求其保费比基本保费高出60%的概率;
(3)求该续保人本年度的平均保费与基本保费的比值.
10.某厂用鲜牛奶在某台设备上生产 A , B 两种奶制品.生产1吨 A 产品需鲜牛奶2吨,使用设备1小时,获利1000元;生产1吨 B 产品需鲜牛奶1.5吨,使用设备1.5小时,获利1200元.要求每天 B 产品的产量不超过 A 产品产量的2倍,设备每天生产 A , B 两种产品时间之和不超过12小时.假定每天可获取的鲜牛奶数量 W (单位:吨)是一个随机变量,其分布列为
该厂每天根据获取的鲜牛奶数量安排生产,使其获利最大,因此每天的最大获利 Z (单位:元)是一个随机变量.
(1)求 Z 的分布列和均值;
(2)若每天可获取的鲜牛奶数量相互独立,求三天中至少有一天的最大获利超过10 000元的概率.
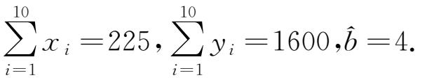
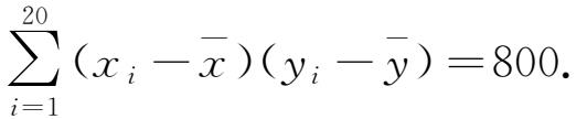
11.某沙漠地区经过治理,生态系统得到很大改善,野生动物数量有所增加.为调查该地区某种野生动物的数量,将其分成面积相近的200个地块,从这些地块中用简单随机抽样的方法抽取20个作为样区,调查得到样本数据(
x
i
,
y
i)(
i
=1,2,…,20),其中
x
i
和
y
i分别表示第
i
个样区的植物覆盖面积(单位:公顷)和这种野生动物的数量,并计算得
1200,
,
(1)求该地区这种野生动物数量的估计值(这种野生动物数量的估计值等于样区这种野生动物数量的平均数乘以地块数);
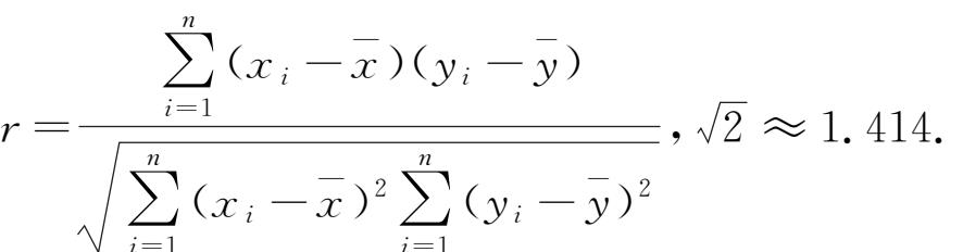
(2)求样本( x i , y i )( i =1,2,…,20)的相关系数(精确到0.01);
(3)根据现有统计资料,各地块间植物覆盖面积差异很大.为提高样本的代表性以获得该地区这种野生动物数量更准确的估计,请给出一种你认为更合理的抽样方法,并说明理由.
附:相关系数