



1.
展开式里的
x
2
的系数为.
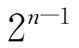
2.使
对所有实数
x
都成立的正整数
k
组成的集合为___.
3.3 1000 在十进制中最后四位是___.
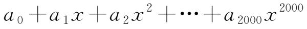
4.若
的展开式为
,则
a
0
+a
3
+a
6
+a
9
+…
+a
1998
的值为___.
5.已知
,则
a
1
+2
a
2
+3
a
3
+…+25
a
25
的值为___.
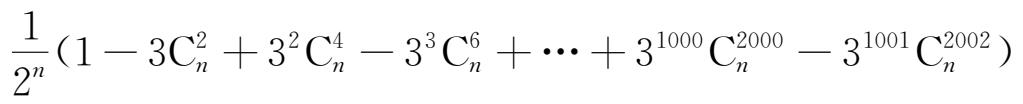
6.设
n
=2002,则
=
___.
7.数码
a
1
,
a
2
,
a
3
,…,
a
2006
中有奇数个9的2007位十进制数
的个数为___.
8.多项式
.的展开式在合并同类项后,
x
150
的系数为___.
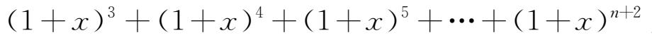
9.求证:
10.设 m =4 l +1, l 是非负整数,求证:
能被
整除.
11.对任何正整数 n ,求证:
其中
表示
的整数部分.