



1.有红、黄、蓝、白四种颜色的水,现倒入三个杯子中,不许混合,问有多少种倒法?
2.在彩票中,从集合{1,2,…,49}中任意选取六个数组成六元子集,共有
个.在这些集合中,有多少个六元子集满足集合中至少有一对数是相邻数?
3. m 个白球排成一列,从其中选 n 个球涂成黑色,若每两个黑球均不能相邻,问有多少种不同的涂法?
4.设1≤ k ≤ n ,考虑所有和为 n 的正整数的有限数列,求其中项数为 k 的数列的个数 T ( n , k ).
5.从数1,2,3,…,14中,按从小到大的顺序取出 a 1 , a 2 , a 3 ,且 a 2 - a 1 ≥3, a 3 - a 2 ≥3,问符合条件的不同取法有多少种?
6.如果自然数 a 的各位数字之和等于7,那么称 a 为“吉祥数”.将所有“吉祥数”从小到大排成一列 a 1 , a 2 , a 3 ,…,若 a n =2005,求 a 5 n .
7.设有三个集合 A , B , C 定义如下:集合 A 表示五个数乘积 a 1 a 2 a 3 a 4 a 5 加三个括号所有不同方法的集合; B 表示凸六边形划分成四个三角形的所有不同方法的集合; C 表示将四个黑球和四个白球排成一行,使在任意一个位置之前,白球数都不少于黑球数的所有排法的集合.求证: |A|=|B|=|C|.
8.连接一凸4 k +3边形的所有对角线,这些线无任何三条交于图形内一点,设 P 为图形内一点,且不在任何对角线上.求证:以此4 k +3边形的4 k +3个顶点为顶点的四边形中包含点 P 的四边形个数是2的倍数(其中 k 为正整数).
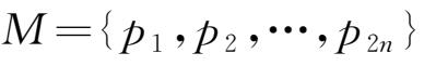
9.对于2
n
个素数组成的集合
,将其元素两两搭配成
n
个乘积,得到一个
n
元素,如果
与
是由此得到的两个
n
元素,若其中
就称集合对{
A
,
B
}是由
M
炮制成的一副“对联”.(例如当
n
=2时,由四元集{
a
,
b
,
c
,
d
}可炮制成三副“对联”:{
ab
,
cd
}={
ac
,
bd
},{
ab
,
cd
}={
ad
,
bc
},{
ac
,
bd
}={
ad
,
bc
}).当
n
=3时,求六元素数集
M
={
a
,
b
,
c
,
d
,
e
,
f
}所能炮制成的“对联”数.
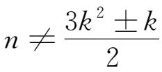
10.证明:将 n 划分为(任意数目的)不同项的划分的数目,等于将 n 划分为奇数项的划分的数目.
11.(五角数定理)若
2
±k
,
k
为正整数.证明:将
n
划分成奇数个不同项的划分的数目,等于将
n
划分成偶数个不同项的划分的数目.