



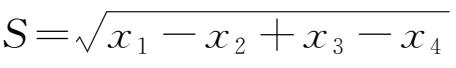
1.在表达式
中,
x
1
,
x
2
,
x
3
,
x
4
是1,2,3,4的一个排列,则使
S
为实数的不同排列的种数是___.
2.由1,2,3,4,5,6,7这七个数字组成无重复数字的七位数,其中三个偶数相邻,四个奇数不都相邻的七位数有___个.
3.如果:(1)
a
,
b
,
c
,
d
都属于{1,2,3,4},(2)
a
≠
b
,
b
≠
c
,
c
≠
d
,
d
≠
a
,(3)
a
是
a
,
b
,
c
,
d
中最小的数,那么,可以组成的不同的四位数
的个数是___.
4.首位数字是1的正整数 n 满足以下条件:
(1)它是一个八位数,每个数位上的数字是0或1;
(2)它的偶数位上的数字之和等于奇数位上的数字之和.
这样的正整数 n 有___个.
5.十名学生站成一排,要给每名学生发一顶红色、黄色或者蓝色的帽子,要求每种颜色的帽子都要有,且相邻的两名学生帽子的颜色不同,则满足要求的发帽子的方法共有___种
6.如图17-1所示,某城市在中心广场建造一个花圃,花圃分为六个部分.现要栽种四种不同颜色的花,每部分栽种一种颜色的花且相邻部分不能栽种同样颜色的花,不同的栽种方法有___种.
7.将两个 a 和两个 b 共四个字母填在如图17-2所示的16个小方格内,每个小方格内至多填一个字母,若使相同字母既不同行也不同列,则不同的填法共有___种.
图17-1
图17-2
8.方程 x+y+z =2010满足 x ≤ y ≤ z 的正整数解( x , y , z )的个数是___.
9.给定平面上的五个点 A , B , C , D , E ,任意三点不共线.由这些点连成四条线段,每点至少是一条线段的端点,则不同的连接方式有多少种?
10.设 S , T 是两个集合, |S|=n , |T|=p ,且 p ≤ n .问有多少个满射函数 f : S → T ?
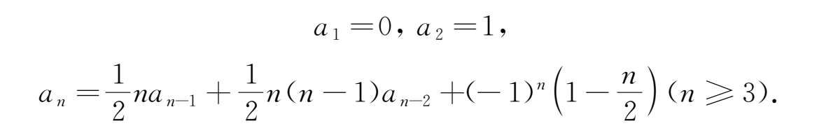
11.数列 a n 定义如下:
求
的最简表达式.