



1.已知抛物线 P 以椭圆 E 的中心为焦点, P 经过 E 的两个焦点,并且 P 与 E 恰有三个交点,则 E 的离心率等于___.
2.设抛物线
C
:
y
2
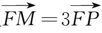
=4
x
的焦点为
F
,过点
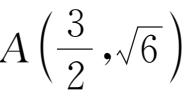
F
的直线
l
与
C
交于
P
,
Q
两点,设
l
与抛物线
C
的准线交于点
M
,且
,则
=
___.
3.设圆 O : x 2 +y 2 =5与抛物线 C : y 2 =2 px ( p >0)交于点 A ( x 0 ,2), AB 为圆 O 的直径,过 B 的直线与 C 交于两个不同点 D , E ,则直线 AD 与 AE 的斜率之积为___.
4.已知Rt△ ABC 的三个顶点 A , B , C 均在抛物线 y=x 2 上,并且斜边 AB 平行于 x 轴,则斜边 AB 上的高 CD 等于___.
5.设
O
为原点,
A
为抛物线
x
=
+1上的动点,
B
为抛物线
y=x
2
+4上的动点,则△
OAB
面积的最小值为___.
6.在平面直角坐标系
xOy
中,抛物线
y
2
=2
x
的焦点为
F
.设
M
是抛物线上的动点,则
的最大值为___.
7.如图11-1所示,已知抛物线
y
2
=2
px
(
p
>0)的焦点为
F
,准线为
l
,过点
F
的直线与抛物线交于
A
,
B
两点,且
=3
p
.设点
A
,
B
在
l
上的射影分别为
A'
,
B'
,如果向四边形
AA'B'B
内任投一点
M
,则点
M
落在△
FA'B'
的概率是___.
图11-1
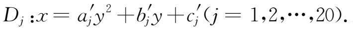
8.在直角坐标系
xOy
中,有抛物线
C
i
:
y=a
i
x
2
+b
i
x+c
(
i
=1,2,…,20),抛物线
对任意实数
a
i
,
b
i
,
,这40条抛物线把坐标平面分成的区域块数最多为___.
9.已知抛物线
E
:
y=x
2
的焦点为
F
,过
y
轴正半轴上一点
M
的直线
l
与抛物线
E
交于
A
,
B
两点,
O
为坐标原点,且
=2.
(1)求证:直线 l 过定点;
(2)设点 F 关于直线 OB 的对称点为 C ,求四边形 OABC 面积的最小值.
10.如图11-2所示,点
A
与点
A'
在
x
轴上,且关于
y
轴对称,过点
A'
且垂直于
x
轴的直线与抛物线
y
2
=2
x
交于两点
B
,
C
,点
D
为线段
AB
上的动点,点
E
在线段
AC
上,满足
(1)证明:直线 DE 与抛物线有且仅有一个公共点;
(2)设直线
DE
与抛物线的公共点为
F
,记△
BCF
与△
ADE
的面积为
S
1
,
S
2
,求
的值.
图11-2
11.如图11-3所示,曲线
C
1
是以原点
O
为中心、
F
1
和
F
2
为焦点的椭圆的一部分,曲线
C
2
是以
O
为顶点、
F
2
(1,0)为焦点的抛物线的一部分,
为曲线
C
1
与
C
2
的交点.
图11-3
(1)求曲线 C 1 与 C 2 所在的椭圆与抛物线的方程.
(2)过点 F 2 作一条与 x 轴不垂直的直线,分别与曲线 C 1 , C 2 交于点 B , C , D , E .
①求△ CDF 1 面积的取值范围.
②若
G
,
H
分别为
CD
,
BE
的中点,问:
是否为定
CD
·
HF
2
值?若是,求出定值;若不是,说明理由.