



1.在平面直角坐标系中,由不等式
≤ 2 确定的图形的面积为___.
2.设直线
l
过点
M
(1,2),若它被两条平行直线4
x
+3
y
+1=0与4
x
+3
y
+6=0所截得的线段长为
,则直线
l
的方程为___.
3.经过曲线
y
=
与
y=x
2
+3
x-
7交点的圆的方程是___.
4.过动点
M
作圆
C
:(
x
-2)
2
+(
y
-2)
2
=1的切线
MN
,其中
N
为切点,若
MN=MO
(
O
为坐标原点),则
的最小值为___.
5.函数
(0≤
x
≤2π)的值域为___.
6.已知圆 C 的方程为 x 2 +y 2 -8 x +15=0,若直线 y=kx -2( k ∈ R )上至少存在一点,使得以该点为圆心、1为半径的圆与圆 C 有公共点,则 k 的最大值等于___.
7.已知动点
P
在
x
轴上,
M
,
N
分别在圆(
x
-1)
2
+(
y
-2)
2
=1和圆(
x
-3)
2
+(
y
4)
2
=3上,则
的最小值为___.
8.已知直线 ax+by =2017与圆 x 2 +y 2 =100有公共点,且公共点的横、纵坐标均为整数,则这样的直线共有___条.
9.如图8-1所示,过坐标原点
O
作圆
=9的两条切线,设切点为
A
,
B.
(1)求直线 AB 的方程以及线段 AB 的长;
(2)求△ OAB 内切圆的方程.
图8-1
10.如图8-2所示,已知 A , B 是圆 x 2 +y 2 =4与 x 轴的两个交点, P 为直线 l : x =4上的动点, PA , PB 与圆 x 2 +y 2 =4的另一个交点分别为 M , N .求证:直线 MN 过定点.
图8-2
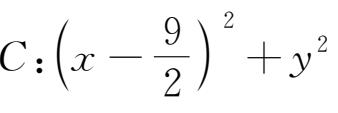
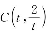
11.在平面直角坐标系中,以点
为圆心的圆经过坐标原点
O
,且分别与
x
轴,
y
轴交于点
A
,
B
(不同于原点
O
).
(1)求证:△ AOB 的面积 S 为定值;
(2)设直线 l : y=- 2 x +4与圆 C 相交于不同的两点 M , N ,且 OM = ON ,求圆 C 的标准方程.