



1.已知f
1
(x)=
,f
n+1
(x)=f
1
[f
n
(x)],则f
28
(x)=__________。
2.设f(n)为一个定义域为正整数的函数,且满足
则f(16)的值为__________。
3.函数方程f
(3)
(x)=
,x≥0的一个解是__________。
4.若f(x)=
,则f
(n)
(x)=__________。
5.数列
满足a
1
=1,a
n+1
=
,则a
n
=__________。
6.若f(x)=x 2 +2x,则f (n) (x)=__________。
7.已知函数f(x)满足:f
2
(x)=
,f
n+1
(x)=f
1
(f
n
(x)),且f
35
(x)=f
5
(x),则f
28
(x)=__________。
8.函数方程g (5) (x)=x 2 +2x的一个解是__________。
9.设数列
满足
x
1
=1,x
n
=
+x
n-1
(n≥2),求数列
的通项公式。
10.f: R → R 是不减的,并且f(x+1)=f(x)+1,φ(x)=f (n) (x)-x。求证:对一切x,y∈ R ,恒有|φ(x)-φ(y)|<1。
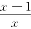
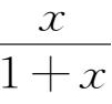
11.已知函数y=f(x),f n (x)表示函数f(x)的n次迭代函数,f n (x)=f[f n-1 (x)],f 1 (x)=f(x)。
(1)若f(x)=1-
,求f
2
(x),f
3
(x),f
4
(x),f
2018
(x)。
(2)若存在正整数k,使得对于任意的正整数n,均有f n+k (x)=f n (x)成立,则称函数f(x)是k次迭代周期函数,正整数k为函数f(x)的迭代周期。
①若g(x)=
,求g(x)的迭代周期。
②若t(x)=ln(e x +1),判别t(x)是否为迭代周期函数。若是,求出迭代周期;若不是,请说明理由。