



1.求证:多项式x
6
-x
5
+x
4
-x
3
+x
2
-x+
没有实根。
2.设a,b,c∈ R 使得方程x 3 +ax 2 +bx+c=0有3个实根。证明:若-2≤a+b+c≤0,则至少存在一个根在区间[0,2]中。
3.设非负实数a,b,c满足a+b+c=1,求证:9abc≤ab+bc+ca≤
(1+9abc)。
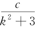
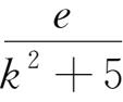
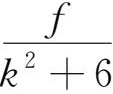
4.已知
+
+
+
+
+
=
对k=1,2,3,4,5,6均成立,求a+b+c+d+e+f的值。
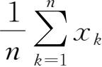
5.设n次多项式f(k)=
(k=0,1,…,n),求f(n+1)。
6.求最大的实数λ,使得当实系数多项式f(x)=x 3 +ax 2 +bx+c的所有根都是非负实数时,只要x ≥0,就有f(x)≥λ(x-a) 3 ,并求式中等号何时成立。
7.求所有的实系数多项式对(P(x),Q(x)),使得对无穷多个x ∈ R ,有
8.n×n矩阵中,第i行第j列的元素等于a i +b j ,这里a 1 ,a 2 ,…,a n ,b 1 ,b 2 ,…,b n 都是给定的实数;矩阵每一行数的乘积都是相等的。证明:每一列数的乘积都是相等的。
9.设ε
k
=cos
+isin
(k=0,1,2,…,n-1),求值:ε
k
·
ε
k
-ε
j
。
10.设多项式P(x)=x
n
+a
1
x
n-
1
+…+a
n-1
x+a
n
有复根x
1
,x
2
,…,x
n
,α=
,β
2
=
,且β
2
<1+|α|
2
。若复数x
0
满足|α-x
0
2<1-β
2
+|α|
2
,求证:|P x
0
|<1。
11.设ζ≠1是复数,ζ
23
=1。计算:
。