



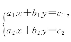
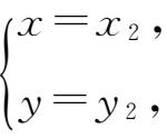
1.已知关于x、y的方程组
的解为
则方程
的解为___.
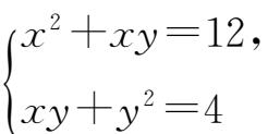
2.若二元二次方程组
有唯一解,则实数k=___.
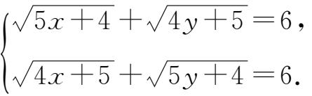
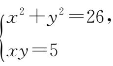
3.方程组
的解为___.
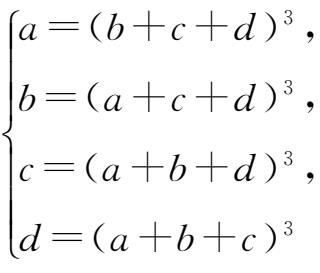
4.方程组
的解为___.
5.方程组
的解为___.
6.方程组
的解为___.
7.已知方程x 2 +bx+c=0有两个相等的实数根,且当x=a与x=a+n时,x 2 +bx+c=m,则m、n的关系为___(将m用n表示).
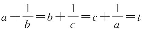
8.已知互不相等的实数a、b、c满足
,则t=___.
9.方程组
的所有实数解有___个.
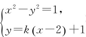
10.方程组
有四个不同的实数解.则实数k的取值范围是___.
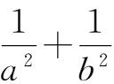
11.设实数a、b满足a
2
(b
2
+1)+b(b+2a)=40,a(b+1)+b=8,求
的值.
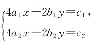
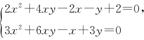
12.解方程组
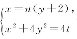
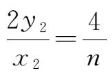
13.二元二次方程组
有两个实数解
和
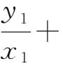
其中y
1
=2,且x
,求常数n、t的值.
14.关于x、y的方程组
有两组解
和
(x
1
≠x
2
)且(x
1
-2)(x
2
-2)+y
1
y
2
=0,求k与m的关系.
15.已知正整数a、b、c满足1<a<b<c,a+b+c=111,b 2 =ac,求b的值.