



1.
【答案】
-
.
【解析】 因为x 1 、x 2 是关于x的一元二次方程x 2 +(3a-1)x+2a 2 -1=0的两个实数根,
所以x 1 +x 2 =-(3a-1),x 1 x 2 =2a 2 -1.
因为(3x 1 -x 2 )(x 1 -3x 2 )=-80,
所以
=-80,
即3(x 1 +x 2 ) 2 -16x 1 x 2 =-80,
所以3[-(3a-1)] 2 -16(2a 2 -1)=-80,
所以5a 2 +18a-99=0,
所以a=3或a=-
,
当a=3时,方程x 2 +(3a-1)x+2a 2 -1=0的根的判别式小于0,不合题意,舍去.
所以a=-
2. 【答案】 a,b.
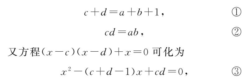
【解析】 方程(x-a)(x-b)-x=0可化为x 2 -(a+b+1)x+ab=0,
而方程的两个根为c、d,所以
所以把式①、式②代入式③中得x 2 -(a+b)x+ab=0,即(x-a)(x-b)=0,
所以x 1 =a,x 2 =b.
3.
【答案】
-
.
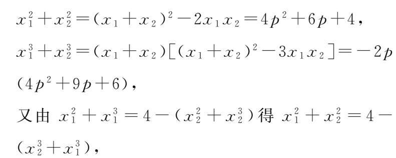
【解析】 由一元二次方程的根与系数的关系可得x 1 +x 2 =-2p,x 1 x 2 =-3p-2,
所以
所以4p 2 +6p+4=4+2p(4p 2 +9p+6),
所以p(4p+3)(p+1)=0,
所以p
1
=0,p
2
=-
,p
3
=-1.
代入检验可知:p
1
=0,p
2
=-
均满足题意
p 3 =-1不满足题意.
因此,实数p的所有可能的值之和为
.
4. 【答案】 7.
【解析】 由a 2 +1=3a,b 2 +1=3b,且a≠b知,a与b是关于x的一元二次方程x 2 -3x+1=0的两个实数根.
由一元二次方程的根与系数的关系得a+b=3,ab=1.
5.
【答案】
.
【解析】 由9y 2 +2011y+5=0得
由xy≠1得x≠
,
所以x与
是一元二次方程5t
2
+2011t+9=0的两个不同的实数根,
由韦达定理有x·
=
.
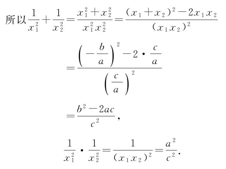
6. 【答案】 c 2 x 2 -(b 2 -2ac)x+a 2 =0.
【解析】
因为x
1
+x
2
=-
,x
1
x
2
=
,
所以,以
和
为两个实根的一元二次方程是c
2
x
2
-(b
2
-2ac)x+a
2
=0.
7.
【答案】
,
.
【解析】
由题意可知,a+b=8,ab=c
2
-8
c+48,所以a、b是方程y
2
-8y+c
2
-8
c+48=0的两根,
所以(y-4)
2
+(c-4
)
2
=0,
所以y=4,c=4
,即a=b=4,c=4
,
所以bx
2
+cx-a=0可化为4x
2
+4
x-4=0,即x
2
+
x-1=0,
解得x
1
=
,x
2
=_
.
故方程的根为x
1
=
,x
2
=_
.
8. 【答案】 -2012.
【解析】 把a 2012 与b 2012 看作方程(x-c 2012 )(xd 2012 )=2012的两个解,
方程整理得x 2 -(c 2012 +d 2012 )x+ (cd) 2012 2012=0,
由韦达定理得,a 2012 b 2012 =(cd) 2012 -2012.
所以(ab) 2012 -(cd) 2012 =[(cd) 2012 -2012]-(cd) 2012 =-2012.
9. 【答案】 1≤a≤5.
【解析】 由bc=a 2 -2a+10,(b+c) 2 =bc+12a+15,得(b+c) 2 =a 2 +10a+25=(a+5) 2 ,
即b+c=±(a+5).
所以b、c是方程x 2 ∓(a+5)x+a 2 -2a+10=0的两个实数根.
于是有Δ=(a+5) 2 -4(a 2 -2a+10)≥0,
即a 2 -6a+5≤0,解得1≤a≤5.
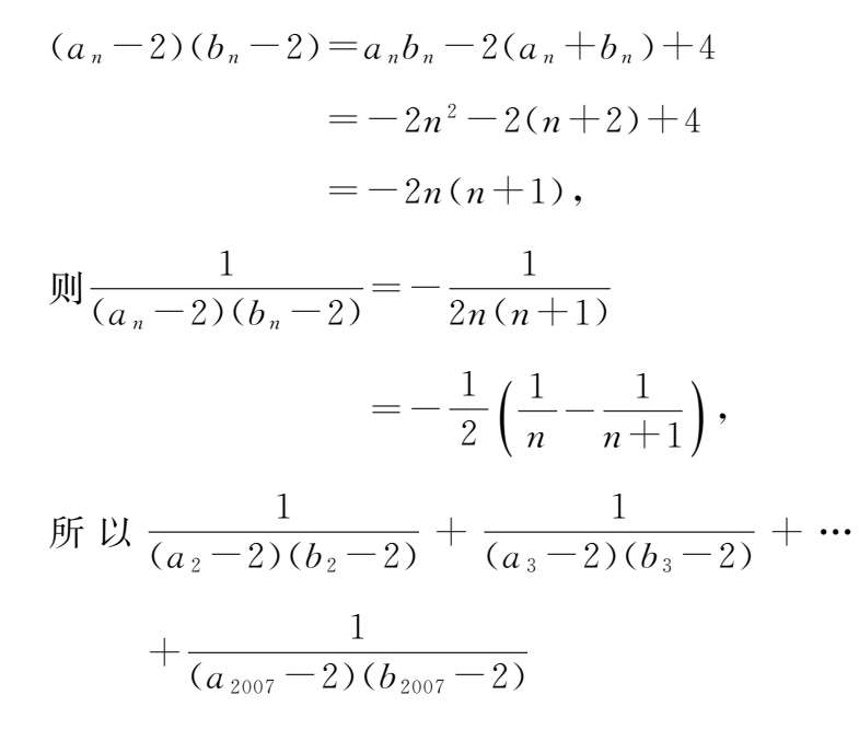
10.
【答案】
-4
.
【解析】 由根与系数的关系得a n +b n =n+2,a nbn =-2n 2 ,所以
11. 【答案】 7.
【解析】
已知条件可化为(-
)
2
+ (-
)=3,(y
2)2
+y
2
=3.
所以
和y
2
是关于t的一元二次方程t
2
+t-3=0的两个实数根.
由一元二次方程的根与系数的关系得-
+y
2
=-1,-
·y
2
=-3.
所以
+y
4
=(-
+y
2
)
2
+
=(-1)
2
+4×
=7 .
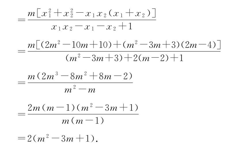
12.
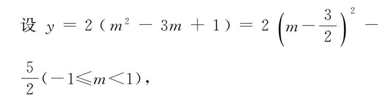
【答案】
(1)m=
;(2)10.
【解析】
(1)因为
=(x
2
+x
2
)
2
-2x
1
x
2
=4(m-2)
2
-2(m
2
-3m+3)=2m
2
-10m+10,所以2m
2
-10m+10=6,即m
2
-5m+2=0,
所以m=
.
因为原方程有两个不相等的实数根,所以Δ=4(m-2) 2 -4(m 2 -3m+3)=-4m+4>0,故m<1,
又m≥-1,所以-1≤m<1.
所以m=
.
(2)由韦达定理有,x 1 +x 2 =-2(m-2),x 1 x 2 =m 2 -3m+3,
因为y在-1≤m<1上是递减的,所以当m=-1时,y取得最大值10.
故
+
的最大值为10.
13. 【答案】 -3或29.
【解析】 设方程x 2 +ax+b=0的两个根为α和β(α、β为整数,且α≤β),则
方程x 2 +cx+a=0的两个根为α+1和β+1,由题意得
化简得αβ+2α+2β+1=0,即(α+2)(β+2)=3.
又因为a=-(α+β),b=αβ,c=-[(α+1)+(β+1)],所以,a=0,b=-1,c=-2或者a=8,b=15,c=6.
故a+b+c=-3或a+b+c=29.
14. 【答案】 10.
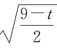
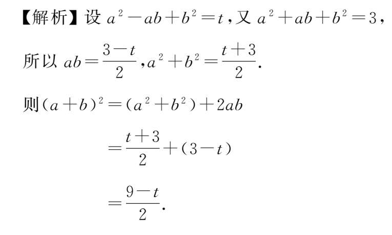
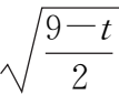
所以a+b=±
,且
≥0,即t≤9.
所以a、b是关于x的一元二次方程x
2
±
x+
=0的两个实数根.
所以Δ=
-4×
≥0,解得t ≥1.
又t≤9,
所以1≤t≤9.
从而可知,m=9,n=1.
所以m+n=10.
15. 【答案】 a=-2,b=-3,c=2.
【解析】
设x
1
是方程x
2
+ax+1=0和x
2
+bx+c=0的相同的实
数根,
则
+ax
1
+1=0,
+bx
1
+c=0.
两式相减,并注意到a-b≠0,解得x
1
=a
.
显然x 1 ≠0,所以c≠1.
设x
2
是方程x
2
+x+a=0和x
2
+cx+b=0的相同的实数根,则
+x
2
+a=0,
+cx
2
+b=0,
两式相减,并注意到c-1≠0,解得x
2
=a
.
显然x 1 x 2 =1.
因为方程x 2 +ax+1=0的两根之积为1,其中一根为x 1 ,所以x 2 也是方程x 2 +ax+1=0的根.
所以
+ax
2
+1=0.
又因为
+x
2
+a=0,
两式相减,得(a-1)x 2 =a-1.
若a=1,则方程x 2 +ax+1=0 无实根,所以a≠1,
所以x 2 =1.
所以a=-2,b+c=-1.
又因为a-b+c=3,所以b=-3,c=2.
所以a=-2,b=-3,c=2.