



1.已知关于x的方程x 2 +2nx+n 2 -3n+2=0 有两个实数根,则n的取值范围是___.
2.若关于x的一元二次方程(b-c)x 2 +(a-b)x+c-a=0有两个相等的实数根,则a、b、c之间的关系是___.(用a、b表示c)
3.若对于任意实数b,关于x的一元二次方程ax 2 +(b-1)x+b-2=0有两个相异实数根,则a的取值范围是___.
4.已知关于x的一元二次方程x 2 +2(a+2b+3)x+(a 2 +4b 2 +99)=0无相异两实根,则满足条件的有序正整数组(a,b)有___组.
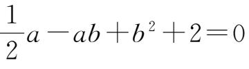
5.若实数a、b满足
,则a的取值范围是___.
6.函数
的最小值是___.
7.已知b 2 -4ac是一元二次方程ax 2 +bx+c=0(a≠0)的一个实数根,则ab的最大值为____.
8.实数x、y满足2x-2x 2 y 2 -2y(x+x 2 )-x 2 =5,则x=___,y=___.
9.实数x、y满足x 2 -2y 2 =8,则|x-y|的最小值是___.
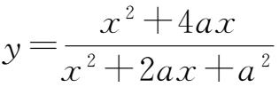
10.已知关于x的函数
(a>0),则y的最大值为___.
11.已知实数x、y、z满足x+y+z=1,求xy+2yz+3zx的最大值.
12.已知实数x、y满足x 2 +y 2 =1,求(x-3) 2 +(y+4) 2 的最大值与最小值.
13.已知(x+a)(x+b)+(x+b)(x+c)+(x+c)(x+a)是完全平方式,求证:a=b=c.
14.已知非零实数a、b、c满足9a-6b+2c=0,求证:b 2 -2ac≥0.
15.试求出这样的四位数,它的前两位数字与后两位数字分别组成的二位数之和的平方恰好等于这个四位数.