



1.如图21-1所示,矩形ABCD的对角线AC,BD相交于点O,过O作OE⊥AC交AB于E,若BC=4,S △AOE =5,则sin∠BOE=___.
2.如图21-2所示,AB为☉O直径,AC为☉O的弦,过☉O外的点D作DE⊥OA于点E,交AC于点F,连接DC并延长交AB的延长线于点P,且∠D=2∠A,作CH⊥AB于点H.若HB=2,cos∠D=
,则AC=______.
图21-1
图21-2
3.如图21-3所示,D,E,F是锐角△ABC三条高的垂足,设△ABC的外接圆半径为R,△DEF的外接圆半径为r,则
=___.
4.在△ABC中,∠C=3∠A,BC=27,AB=48.则cos2A=___.
5.在△ABC中,BC=2019,AC=2020,AB=
,则sin∠A=___.
6.在△ABC中,∠C=90°,其周长为
,且已知斜边上的中线长为1.如果BC>AC,则tan∠A=___.
7.如图21-4所示,AB=CD=1,∠ABC=90°,∠CBD=30°,则AC=___.
图21-3
图21-4
8.如图21-5所示,在Rt△ABC中,CD、CE分别为斜边AB上的高和中线,已知BC=a,AC=b(b>a) ,若tan∠DCE=
,则
=___.
9.如图21-6所示.∠A=∠BEF=∠EBC=∠ECD=90°,∠ABF=30°,∠BFE=45°,∠ECB=60°且AB=2CD,则tan∠CDE=___.
图21-5
图21-6
10.△ABC中,已知
,且b=4,则a+c=___.
11.已知△ABC中,∠B是锐角,从顶点A向BC边或其延长线作垂线,垂足为D,从顶
2BD
2BE
点C向AB边或其延长线作垂线,垂足为E,当
和
均为正整数时,△ABC是什么三角形?并证明你的结论.
12.如图21-7所示.AD是△ABC的角平分线,∠ADC=α,AD 2 =BD·DC.求证:cos∠BAC=cos 2 α.
图21-7
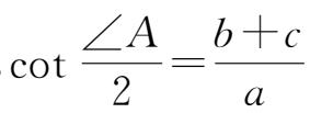
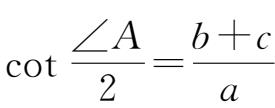
13.如图21-8所示,已知锐角△ABC及其外接圆☉O,AM是BC边的中线,分别过点B、C作☉O的切线,两条切线相交于点X,连接AX,求证:A
=cos∠BAC.
图21-8
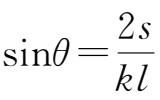
14.如图21-9所示,四边形EFGH是正方形ABCD的内接四边形,点E、F、G、H分别在边AB、BC、CD、DA上,EG和FH交于点O,∠BEG和∠CFH都是锐角,已知EG=k,FH=l,四边形EFGH的面积为S,EG和FH所夹的锐角为θ.
(1)求证:
.
(2)用k、l、θ来表示正方形ABCD的面积.
图21-9
15.证明:(1)在△ABC中,∠C=90°,则
.
(2)反过来,如果在△ABC中,
,则△ABC是直角三角形.