



1.一枚质地均匀的正方体骰子的六个面上的数字分别是1、2、2、3、3、4;另一枚质地均匀的正方体骰子的六个面上的数字分别是1、3、4、5、6、8.同时掷这两枚骰子,则其朝上的面的两数字之和为7的概率是___.
2.一枚质地均匀的正方体骰子的六个面上的数字分别是1、2、3、4、5、6.掷两次骰子,设其朝上的面上的两个数字之和除以4的余数分别是0、1、2,3的概率为p 0 、p 1 、p 2 、p 3 ,则p 0 、p 1 、p 2 、p 3 中最大的是___.
3.6张不同的卡片上分别写有数字2、2、4、4、6、6,从中取出3张,则这3张卡片上所写的数字可以作为三角形的三边长的概率是___.
4.一个袋子中装有4个相同的小球,它们分别标有号码1、2、3、4.摇匀后随机取出一球,记下号码后放回;再将小球摇匀,并从袋中随机取出一球.则第二次取出的球的号码不小于第一次取出的球的号码的概率为___.
5.一个不透明的袋子中有除颜色外其余都相同的红、黄、蓝色玻璃球若干个,其中红色玻璃球有6个,黄色玻璃球有9个.已知从袋子中随机摸出一个蓝色玻璃球的概率为
,那么,随机摸出一个红色玻璃球的概率为___.
6.如图13-1所示,圆O的半径为2,点A、B、C、D、E、F是圆O的六个等分点.在圆O上随机取一点P,则△PAC的面积大于 2 3的概率是___.
图13-1
7.小燕一家三口在商场参加抽奖活动,每人只有一次抽奖机会:在一个不透明的箱子中装有红、黄、白三种球各1个,这些球除颜色外无其他差别,从箱子中随机摸出1个球,然后放回箱子中轮到下一个人摸球,则三人摸到球的颜色都不相同的概率是___.
8.如图13-2所示,从“田字型”网格(由4个边长为1的正方形构成)的9个交点中任取3个点,能构成一个面积为1的三角形的概率是___.
9.一个质地均匀的正方体的六个面分别标有数1,2,…,6.若掷此正方体两次,第一次、第二次朝上的面的数字分别记作a、b,则关于x的方程(a-1)x 2 +(b-2)x+1=0有实根的概率为___.
图13-2
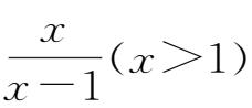
10.设函数f(x)=ax+
,若a是从1、2、3三个数中任取的一个数,b是从2、x-1 3、4、5四个数中任取的一个数,则f(x)>b恒成立的概率是___.
11.如图13-3所示,一枚棋子依次沿正方形ABCD的四个顶点A、B、C、D,A、B、C、D,…移动,开始时棋子在A处,然后根据骰子所掷点数移动棋子(如掷得1点就移动1步到B处,如掷得3点,就移动3步到D处,骰子的点数为1~6),接着,以移动后棋子所在的位置为新的起点,再次进行同样的操作.求在第二次掷骰子后棋子回到点A处的概率.
图13-3
12.某市小型机动车驾照“科二”考试中共有5项考查项目,分别记作①、②、③、④、⑤.
(1)某教练将所带10名学员的“科二”模拟考试成绩进行统计(如表13-1所示),并打算从恰有2项成绩不合格的学员中任意抽出2人进行补测(只测不合格的项目),求补测项目种类不超过3项的概率.
表13-1
注:T表示合格,空白表示不合格
(2)如图13-4所示,某次模拟演练中,教练要求学员甲倒车并转向90°,在汽车边缘不压射线AC与射线BD的前提下,将汽车驶入指定的停车位.根据经验,学员甲转向90°后可使车尾边缘完全落在线段CD上,且位于CD内各处的机会相等。若CA=BD=0.3m,AB=2.4m,汽车宽度为1.8m,求学员甲能按教练要求完成任务的概率.
图13-4
13.甲、乙两人用两颗骰子玩游戏.这两颗骰子的一些面标记字母A,而其余的面则标记字母B.两个人轮流掷骰子,游戏规则如下:两颗骰子的顶面字母相同时,甲赢;两颗骰子的顶面字母不同时,乙赢.已知第一颗骰子各面的标记为4A2B,回答下列问题:
(1)若第二颗骰子各面的标记为2A4B,求甲、乙两人获胜的概率各是多少?
(2)要使两人获胜概率相等,第二颗骰子要有几个面标记字母A?
14.任意选择一对有序整数(b,c),其中每一个整数的绝对值都小于或等于5,每一对这样的有序整数被选择的可能性是相等的,则使方程x 2 +bx+c=0没有相异正实根的概率是多少?
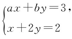
15·将一枚六个面编号分别为1、2、3、4、5、6的质地均匀的正方体骰子先后投掷两次,记第一次掷出的点数为,第二次掷出的点数为b,则使关于x,y的方程组
只有正数解的概率是多少?