



1.已知函数y=-x 2 +2ax+1-a在0≤x≤1上的最大值为2,则a的值为___.
2.若t为实数,关于x的方程x 2 -4x+t-2=0的两个非负实数根为a、b,则代数式(a 2 -1)(b 2 -1)的最小值是___.
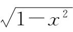
3.函数y=4-x
2
-
的最大值与最小值分别是___.
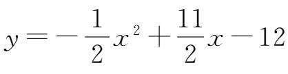
4.若
的最大值为a,最小值为b,则a
2
+b
2
的值为___.
5.已知正整数x
1
,x
2
,…,x
10
互不相等,满足
,则x
8
-(x
5
+x
4
+x
3
+x
2
+x
1
)的最大值为___.
6.抛物线
交x轴的正半轴于A,与y轴交于点B.点P是第一象限内抛物线上的一个动点,则P到直线AB的距离的最大值为___.
7.已知抛物线y=x 2 +mx+n经过点(2,-1),且与x轴交于两点A(a,0),B(b,0),若点P为该抛物线的顶点,则△PAB面积最小时抛物线的解析式为___.
图8-1
8.如图8-1所示,抛物线
与x轴交于B、C两点(点B在C的左侧),抛物线上有一点A(x
0
,y
0
)(y
0
>0),点A在对称轴的左边,且∠BAC=90°,点D与A关于x轴对称.设垂直于x轴的直线l与抛物线交于点M,与CD交于点N,若直线l沿x轴方向左右平移,且交点M始终位于抛物线上A、C两点之间时,那么四边形AMCN的面积的最大值为_.
9.已知抛物线y=ax
2
+bx+c(0<2a<b)的顶点为P(x
0
,y
0
),点A(1,y
A
),B(0,y
B
),C(-1,y
C
)在该抛物线上,当y
0
≥0恒成立时,
的最小值为___.
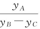
10.如图8-2所示,在△ABC中,AB=a,点D在AB边上移动(点D不与A、B重合),DE∥BC,交AC于E,连接CD.设S
△ABC
=S,S
△DEC
=S
1
,AD=x,
,则y关于x的函数关系式为___,y的最大值为__.
图8-2
11.设a为实数,讨论函数y=x 2 +|x-a|+1的最小值.
12.设k、t为常数,关于x的方程kx 2 +(3-3k)x+2k-6=0只有整数根,关于y的一元二次方程(k+3)y 2 -15y+t=0有两个正整数根y 1 、y 2 .
(1)求k的值.
(2)当t为何值时,y 1 2 +y 2 2 有最小值?
13.已知a 2 +b 2 =1,对于满足条件 0 ≤x ≤ 1 的一切实数x,不等式a(1-x)(1-x-ax)-bx(b-x-bx)≥0恒成立,当乘积ab取最小值时,求a、b的值.
14.如图8-3所示,已知抛物线y=a(x-1)
2
+3
(a≠0)经过点A(-2,0),抛物线的顶点为D,过O作射线OM∥AD.过顶点D作平行于x轴的直线交射线OM于点C,B在x轴正半轴上,连接BC.
(1)求该抛物线的解析式.
(2)若动点P从点O出发,以每秒1个长度单位的速度沿射线OM运动,设点P的运动时间为t(s).当t为何值时,四边形DAOP分别为平行四边形、直角梯形、等腰梯形?
(3)若OC=OB,动点P和动点Q分别从点O和点B同时出发,分别以每秒1个长度单位和2个长度单位的速度沿OC和BO运动,当其中一个点停止运动时另一个点也随之停止运动.设它们的运动时间为t(s),连接PQ.当t为何值时,四边形BCPQ的面积最小?并求出最小值及此时PQ的长.
图8-3
15.如图8-4所示,抛物线y=mx 2 -16mx+48m(m>0)与x轴交于A、B两点(点B在点A左侧),与y轴交于点C,点D是抛物线上的一个动点,且位于第四象限,连接OD、BD、AC、AD,延长AD交y轴于点E.
(1)若对任意m>0,C、E两点总关于原点对称,求点D的坐标(用含m的式子表示).
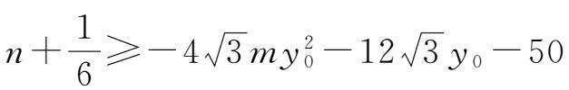
(2)当点D运动到某一位置时,恰好使得∠ODB=∠OAD,且点D为线段AE的中点,此时对于该抛物线上任意一点P(x
0
,y0),总有
成立,求实数n的最小值.
图8-4