



大家对条件概率并不陌生,它是棣莫弗在《偶然论》里提出的,在某些前提因素约束下的概率,是解决逆概率问题的第一步。比如说,我有心脏病史,想预测一下来年病发的可能性。根据中国疾控中心的历史记录,中国每年大约有100万人猝发心脏病。2021年根据人口普查数据中国有14亿人口,随机挑选一个中国人,其在来年心脏病发作的概率大约为0.07%。但是就具体个例而言,“我”不是那个被随机选中的人。医学专家们已经明确了多种影响心脏病发作的风险因素,根据这些因素我的发病风险则有可能高于或低于平均值。本人男,家族心脏病遗传,有血脂异常,这些因素增加了我发病的可能性,然而血压低、不抽烟这些因素则降低了我患病的可能性。经过在线计算,我得知自己明年心脏病发病的概率约为0.01%,低于全国历史平均水平。这是基于一系列前提条件约束的条件概率值 [6] 。
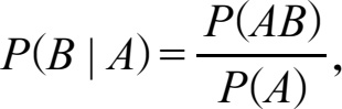
一般来说条件概率的写法是 P ( B | A ),表示在条件 A 下事件 B 发生的概率。若只有两个事件 A , B ,那么
分母是事件 A 的概率,分子是联合概率,联合概率可以有多种写法: P ( AB )或者 P ( A , B )或者 P ( A ∩ B )。表示事件 A 和 B 一起发生的概率。用一幅图我们可以看清楚:
图 3-7 A已发生条件下B发的概率
接下来很自然地,我们将之推广到贝叶斯定理。