



(1)重点掌握欧姆定律的定义和应用。若一电阻端电压与通过其电流呈线性关系,则该电阻为无源元件,遵循欧姆定律:
v = iR
(2)短路为电路元件阻值为0,开路为电路元件阻值为无穷大。
(3)电导 G (S)为电阻 R (Ω)的倒数:
(4)掌握节点、支路和回路的定义。
(5)若一个电路网络有 b 个支路, n 个节点和 l 个独立回路或网孔,则
b = l + n -1
(6)基尔霍夫电流定律(KCL)基于电荷守恒定律,即在一系统内的电荷代数和是不能改变的(或电荷不能创造,也不能消失),也就是某节点上不可能有电荷的积聚。
(7)基尔霍夫电压定律(KVL)基于能量守恒定律,即环绕任一闭合路径(或回路)的电压代数和为零。
(8)若电阻
和
串联,则等效电阻
R
eq
和等效电导
G
eq
分别为:
(9)若电阻
和
并联,则等效电阻
R
eq
和等效电导
G
eq
分别为:
(10)串联电阻分压规律:
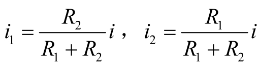
(11)并联电阻分流规律:
(12)Δ→Y电阻变换公式:
(13)Y→Δ电阻变换公式: