



集合是数学中的一个最基本的概念,它在现代数学和工程技术中有着非常重要的作用。一般地,具有某种特定性质的事物的总体称为 集合 ,简称 集 .组成这个集合的事物称为该集合的 元素 .例如,某大学一年级经管系的学生的全体组成一个集合,其中每一名学生为该集合的一个元素;自然数的全体组成自然数集合,每个自然数是它的元素;等等.
通常用大写的英文字母
A
,
B
,
C
,…表示集合;用小写的英文字母
a
,
b
,
c
,…表示集合的元素。若
a
是集合
A
的元素,则称
a
属于
A
,记作
a
∈
A
;否则称
a
不属于
A
,记作
a
∉A(或
a
).含有有限个元素的集合称为
有限集
;由无限个元素组成的集合称为
无限集
;不含任何元素的集合称为
空集
,用⌀表示。例如,某大学一年级经管系学生的全体组成的集合是有限集;全体实数组成的集合是无限集;方程
x
2
+1 = 0 的实根组成的集合是空集.
集合的表示方法主要有 列举法 和 描述法 .
列举法是将集合的元素一一列举出来,写在一个花括号内。例如,所有正整数组成的集合可以表示为 N = {1,2,…, n ,…}.
描述法是指明集合元素所具有的性质,即将具有某种性质特征的元素 x 所组成的集合 A ,记作
A = { x x 具有某种性质特征}.
例如,正整数集 N 也可表示成
N = { n n = 1,2,3,…};
所有实数的集合可表示成
又如,由方程 x 2 -3 x +2 = 0 的根构成的集合,可记为
而集合
表示 xOy 平面单位圆周上点的集合.
设 A , B 是两个集合,若 A 的每个元素都是 B 的元素,则称 A 是 B 的 子集 ,记作 A ⊆ B (或 B ⊇ A ),读作 A 被 B 包含(或 B 包含 A );若 A ⊆ B ,且有元素 a ∈ B ,但 a ∉ A ,则说 A 是 B 的 真子 集 ,记作 A ⊂ B .例如,全体自然数的集合是全体整数集合的真子集.
注 :规定空集为任何集合的子集,即对任何集 A , ϕ ⊆ A .
若
A
⊆
B
,且
A
⊇
B
,则称集
A
与
B
相等
,记作
A
=
B
.例如,设
A
={1,2},
B
={
x
x
2
-3
x
+2 = 0},则
A
=
B
.
由属于 A 或属于 B 的所有元素组成的集称为 A 与 B 的 并集 ,记作 A ∪ B ,即
由同时属于 A 与 B 的元素组成的集称为 A 与 B 的 交集 ,记作 A ∩ B ,即
由属于 A 但不属于 B 的元素组成的集称为 A 与 B 的 差集 ,记作 A \ B ,即
两个集合的并集、交集、差集如图 1.1 所示阴影部分.
图 1.1
在研究某个问题时,如果所考虑的一切集都是某个集 X 的子集,则称 X 为基本集或全集. X 中的任何集 A 关于 X 的差集 X \ A 常简称为 A 的 补集 (或 余集 ),记作 C X A.
以后用到的集合主要是数集,即元素都是数的集合。如果没有特别声明,以后提到的数都是实数.
区间是用得较多的一类数集。设 a 和 b 都是实数,且 a < b ,则数集
称为 开区间 ,记作( a ,b),即
a 和 b 称为开区间( a , b )的 端点 ,这里 a ∉( a ,b), b ∉(a, b ).
数集{
x
a
≤
x
≤
b
}称为
闭区间
.记作[
a
,
b
],即
a 和 b 也称为闭区间[ a , b ]的端点,这里 a ∈[ a , b ], b ∈[ a , b ].
数集
称为半 开半闭区间 .
以上这些区间都称为 有限区间 .数 b - a 称为 区间的长度 .此外还有 无限区间 :
这里记号“-∞”与“+∞ ”分别表示“负无穷大”与“正无穷大”.
邻域 是常用的一类数集,也是一个经常用到的概念.
设 a 是一个给定的实数, δ 是某一正数,称数集:
为点 a 的 δ 邻域 ,记作 U ( a , δ ).称点 a 为该 邻域的中心 , δ 为该 邻域的半径 ,如图 1.2 所示.
图 1.2
注: 邻域 U ( a , δ )也就是开区间( a - δ , a + δ ),这个开区间以点 a 为中心,长度为 2 δ .
若把邻域
U
(
a
,
δ
)的中心去掉,所得到的邻域称为点
a
的
去心
δ
邻域
,记作
(
a
,
δ
),即
注:
不等式 0<
x
-
a
意味着
x
≠a,即
(
x
a
,
δ
)=
U
(
a
,
δ
)\{
a
}.
现实世界中有各种各样的量,如几何中的长度、面积、体积和经济学中的产量、成本、利润等。在某个过程中,保持不变的量称为 常量 ,取不同值的量称为 变量 .如圆周率π是常量,一天中的气温是变量.
一般地,在一个问题中往往同时有几个变量在变化着,而且这些变量并非孤立在变,而是相互联系、相互制约的。这种相互依赖关系刻画了客观世界中事物变化的内在规律,函数就是描述变量间相互依赖关系的一种数学模型.
定义 设 x 和 y 是两个变量, D 是一个给定的非空数集,如果对于每个数 x ∈ D ,变量 y 按照一定法则总有确定的数值和它对应,则称 y 是 x 的函数,记作 y = f ( x ),数集 D 叫作这个函数的 定义域 ,记为 D ( f ), x 叫作 自变量 , y 叫作 因变量 .
对 x 0 ∈ D ,按照对应法则 f ,总有确定的值 y 0 [记为 f ( x 0 )]与之对应,称 f ( x 0 )为函数在点 x 0 处的 函数值 ,因变量与自变量的这种相依关系通常称为 函数关系 .
当自变量 x 遍取 D 的所有数值时,对应的函数值 f ( x )的全体组成的集合称为函数f的 值 域 ,记为 R ( f ),即
注: 函数概念的两个基本要素是 定义域 和 对应法则 .
定义域表示使函数有意义的范围,即自变量的取值范围。在实际问题中,可根据函数的实际意义来确定。例如,圆的面积关于半径的函数 A =π r 2 的定义域是(0,+∞).在理论研究中,若函数关系由数学公式给出,函数的定义域就是使数学表达式有意义的自变量 x 的所有值构成的数集。例如,如果不考虑实际意义,则函数 A =π r 2 的定义域是(-∞,+∞).
对应法则是函数的具体表现,即两个变量之间只要存在对应关系,那么它们之间就具有函数关系。例如,气温曲线给出了气温随时间变化的对应关系;三角函数表列出了角度与三角函数值的对应关系。因此,气温曲线和三角函数表所表示的都是函数关系。这种用曲线和列表给出函数的方法分别称为 图示法和列表法 .而在理论研究中所遇到的函数多数由数学公式给出,称为 公式法 .例如,初等数学中所学过的幂函数、指数函数、对数函数、三角函数都是用公式法表示的函数.
图 1.3
从几何上看,在平面直角坐标系中,点集
称为函数 y = f ( x )的 图像 ,如图 1.3 所示。函数 y = f ( x )的图像通常是一条曲线, y = f ( x )也称为这条曲线的方程。这样,函数的一些特性常常可借助于几何直观地发现;相反,一些几何问题,有时也可借助于函数进行理论探讨.
现列举一些关于函数的具体例子.
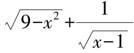
例 1
求函数
y
=
的定义域.
解 要使数学表达式有意义, x 必须满足
由此有
1 < x ≤ 3,
因此函数的定义域为(1,3].
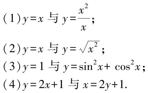
由函数概念的两个基本要素可知,一个函数由定义域 D 和对应法则f唯一确定,因此,如果两个函数的定义域和对应法则相同,则称这两个 函数相同 (或 相等 ).
例 2 判断下列函数是否相同,并说明理由.
解
(1)不相同,因为
y
=
x
的定义域是(-∞,+ ∞),而
y
=
的定义域是
x
≠0,即(-∞,0)∪(0,+∞).
(2)不相同,虽然
y
=
x
与
y
=
的定义域都是
(-∞,+∞),但对应法则不同,
y
=
.
(3)相同。虽然这两个函数的表现形式不同,但它们的定义域(-∞,+∞)与对应法则均相同,所以这两个函数相同.
(4)相同。虽然它们的自变量与因变量所用的字母不同,但其定义域(-∞,+∞)和对应法则均相同,所以这两个函数相同.
例 3 设函数 f ( x )= x 3 -3 x +5,求 f (1), f ( x 2 ).
解 因为 f ( x )的对应规则为:() 3 -3()+5,所以
所以
f ( x )= x 2 -3 x +3.
例 5
设函数f(x)=
,求函数的定义域和
f
(0.01),
f
(4).
解 由 0≤ x ≤1, x >1 可知函数的定义域为[0,+∞),
注: 例 5 表明一个函数在其定义域的不同子集上要用不同的表达式来表示对应法则,称这种函数为 分段函数.
需要指出的是,分段函数是一个函数由两个或两个以上的式子表示,不能将分段函数当作几个函数。并注意求分段函数的函数值时,要先判断自变量所属的范围。下面给出一些常用的分段函数.
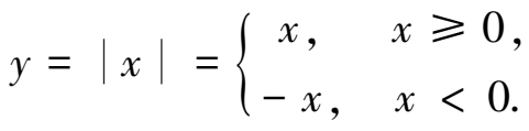
例 6 绝对值函数
的定义域 D ( f )=(-∞,+∞),值域 R ( f )= [0,+∞),如图 1.4 所示.
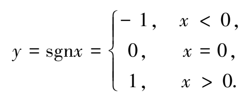
例 7 符号函数
的定义域 D ( f )=(-∞,+∞),值域 R ( f )= {-1,0,1},如图 1.5 所示.
图 1.5
图 1.4
例 8
最大取整函数
y
= [
x
],其中[
x
]表示不超过
x
的最大整数。例如,[-3.14]= -4,[0]= 0,[
]= 1,[π]= 3 等。函数
y
= [
x
]的定义域
D
(
f
)=(-∞,+∞),值域
R
(
f
)= {整数}。一般地,
y
= [
x
] =
n
,
n
<
x
≤
n
+1,
n
= 0,±1,±2,…,如图 1.6 所示.
图 1.6
1.求下列函数的定义域.
2.判断下列各组函数是否相同?
3.若 f ( x )= x 2 -3 x +2,求 f (1), f ( x -1).