



在讨论函数的变化趋势时,有两种变化趋势是数学理论研究和处理实际问题经常遇到的,这就是本节要介绍的两个特殊变量:无穷小量与无穷大量.
定义 1 若lim α ( x )= 0,则称 α ( x )为该极限过程中的一个 无穷小量 ,简称 无穷小 .
例如,
x
= 0,当
x
→0 时,函数sin
x
是无穷小.
又如,
= 0,当
x
→∞时,函数
是无穷小.
注: (1)无穷小是极限为 0 的量。除了常数 0 可以作为无穷小外,其他任何常数即便其绝对值很小,都不能是无穷小。即不能认为无穷小就是很小很小的量.
(2)无穷小是相对某极限过程而言的。如对数函数
f
(
x
)= ln
x
,由于
x
= 0,故ln
x
是当
x
→1 时的无穷小。而当
x
→∞时,它不是无穷小.
无穷小具有以下性质:
性质 1 有限个无穷小的代数和是无穷小.
性质 2 有界变量与无穷小的乘积是无穷小.
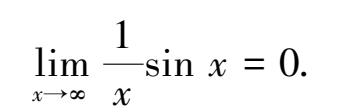
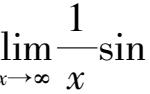
例1
求
x
.
解
因为∀
x
∈(-∞,+∞),sin x ≤1,且
= 0,故由性质 2 得
由性质 2 可以推出下列结论:
推论 1 常数与无穷小的乘积为无穷小.
推论 2 有限个无穷小的乘积为无穷小.
定义 2
如果在某极限过程中,
无限地增大,则称函数
f
(
x
)为该极限过程中的无穷
大量
,简称
无穷大
,记作lim
f
(
x
)= ∞ .且
无限地增大,则称
f
(
x
)为负无穷大,记作lim
f
(
x
)= -∞ .
例 2
= +∞,即当
x
→+∞时,e
x
是正无穷大.
若
f
(
x
)>0 且
无限地增大,则称
f
(
x
)为正无穷大,记作lim
f
(
x
)= +∞ ;若
f
(
x
)<0
x
= -∞,即当
x
→0
+
时,ln
x
是负无穷大.
注: (1)无穷大是一个变量,这里借用lim f ( x )= ∞表示 f ( x )是一个无穷大,并不意味着 f ( x )的极限存在。恰恰相反,lim f ( x )= ∞意味着 f ( x )的极限不存在.
(2)称一个函数为无穷大时,必须明确指出自变量的变化趋势。对于一个函数,一般来说,自变量趋向不同会导致函数值的趋向不同。例如,函数
y
= tan
x
,当
x
→
时,它为无穷大,而当
x
→0 时,它为无穷小.
定理 1 lim f ( x )= A 的充要条件是: f ( x )= A + α ( x ),其中 α ( x )为该极限过程中的无穷小量.
证 (必要性)设 α ( x )= f ( x )- A ,因为lim f ( x )= A. 由极限的运算法则有
lim α ( x )= lim [ f ( x )- A ] = lim f ( x )- lim A = A - A = 0.
故 α ( x )是自变量在同一过程中的无穷小.
(充分性)因为 α ( x )是无穷小,所以lim α ( x )= 0,而 f ( x )= A + α ( x ),故
lim f ( x )= lim [ A + α ( x )]= A -0 = A .
在同一变化过程中,无穷小与无穷大之间有如下关系:
定理 2
在某极限过程中,若
f
(x)为无穷大,则
为无穷小量;反之,若
f
(
x
)为无穷小量,且
f
(
x
)≠0,则
为无穷大.
定理 2 表明,无穷小与无穷大类似于倒数关系.
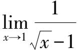
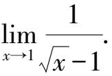
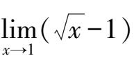
例 3
求
解
因为
= 0,所以
= ∞ .x→1 x→1 x-1
1.下列函数在什么情况下为无穷小?在什么情况下为无穷大?
2.求下列函数的极限.