



本书从微观向宏观递进的角度研究了城市地下隧道开挖对邻近地表建筑物产生的影响,具体包括以下方面:
①地下隧道开挖影响区与影响指数的划分。
②在相应的开挖影响区内的地表建筑物受开挖影响所产生的极限应变状态。
③隧道开挖诱发地表沉降预测模型。
④隧道开挖诱发地表建筑物损伤模型。
如图2.1所示,浅埋暗挖隧道诱发地表沉降计算模型,本书中假设隧道断面周围是一个半无限弹性空间,Verruijt和Booker(1996)提出了在均匀弹性半无限空间不可压缩的土体内的隧道开挖诱发地表沉降的闭合解析解。解析解主要由3部分构成,如图2.2所示,包括在 x =0, z = H 和 x =0, z =- H 处基于弹性理论的奇异解,由于上述两个解的对称性,可知 z =0处的剪切应变和竖向沉降为0。然而两处的法向应力由于叠加的原因却不为0。为了满足在地表处的法向应力为0这一边界条件,需要为平衡边界条件即地表法向应力归0。
图2.1 弹性奇异解原理图
图2.2 修正后的解析解与原理论解的沉降结果对比
短时间看来,隧道衬砌长期所形成的椭圆变形可以忽略不计。因此,Verruijt和Booker所提出的弹性解为
其中
ε
=
u
ε
/R
表示与隧道均匀径向位移相关的地表损失参数,
R
和
H
为隧道半径和埋深。且
z
1
=-
z
-
H
,
z
2
=-
z
+
H
,
=
x
2
+
,
r
2
=
x
2
+
,
m
=1/(1-2
ν
),其中
ν
为土体泊松比。
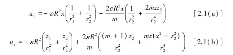
由于隧道径向均匀收缩所诱发的地表变形,地表 z =0处的竖向位移为:将 z =0代入公式[2.1(b)]得
可以发现,在实际工程中,由于许多地质因数的综合影响,加之隧道衬砌的径向均匀收缩所诱发的地表沉降并非如此。为了满足实际工程情况,本书提出以下修正公式:
式中 λ 1 ——最大沉降值的修正参数;
λ 2 ——沉降槽宽度的修正参数。
假设土体不可压缩,土体的泊松比 ν 取0.5,且( m +1) /m =1,由于隧道开挖,地层所损失的体积 V =2π Ru ε ,如图2.2所示。根据上述理论,对式(2.2)和式(2.3)两端同时在-∞到+∞上积分,有:
简化后可得:
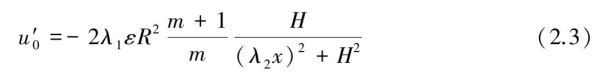
式(2.3)简化为:
接下来介绍在隧道动态开挖过程中,开挖所诱发的三维地表沉降的理论解。Sen(1950)、Mindlin和Cheng(1950)提出了基于土体内部空腔收缩理论;Sagaseta(1987)在其所提出的径向均匀收缩理论中,假设了土体在开挖过程中的损失体积为 V =2π Ru ε ,沿着隧道开挖的方向上-∞< y <0;Pinto和Whittle(2014)提出了三维地表沉降场的理论解:
式中 y ——本书中隧道的掘进方向。
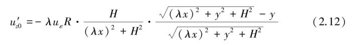
地表竖向位移( u z 0 ),地下开挖产生的沉降槽与隧道掌子面的位置关系如图2.3所示, y >0表示未开挖区域, y =0表示隧道所在位置, y <0表示隧道开挖过后的区域。本书中,土体泊松比取0.5, y →+∞,那么地表由于开挖所产生的竖向位移即沉降 u z 0 简化为
图2.3 隧道掌子面与3D沉降槽位置关系
可以发现,当土体泊松比取0.5时,式(2.8)与式(2.2)相同,说明三维地表沉降公式是二维沉降公式的一种形态。因此,与二维状态下的地表沉降修正公式相关的三维修正公式为:
式中 λ 3 —— y 轴方向上的沉降的修正系数。
与上述二维模型一样,如果不考虑土体压缩所产生地层损失,那么在隧道开挖过后的区域的地层损失与沉降槽的体积相等。因此,地表沉降槽的体积理论计算公式如下:
推断出
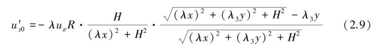
将式(2.11)代入式(2.9)可以得到
令 x =0,则有沿着 y 方向的沉降表达式为
图2.4是隧道中轴线方向上的地表沉降理论解公式和修正后的理论解的对比,可以发现,修正后 y 方向上的最大沉降值是原理论解的 λ 倍,同时在隧道的掌子面上,修正后的沉降值也是原理论沉降值的 λ 倍。然而,两种解的隧道掌子面上的地表沉降均为开挖后的最大地表沉降值的一半。
图2.4 隧道轴线上理论解和修正解沉降值对比