



问题导入1
今天你是否该买东西或者是把钱存起来以后再买?不同的行为导致不同的结果。例如,你有 2 500 元,并且你想购买一台 2 500 元的冰箱。
如果你立即购买,就分文不剩。
 
   如果你把 2 500 元以 6%的利率进行投资,一年后你可以买到这台冰箱并有 150 元的结余。(假设冰箱价格不变)
如果冰箱的价格由于通货膨胀而每年上涨 7%,那么一年后你就买不起这台冰箱。
最佳决策是立即购买冰箱。
只有投资收益率>通货膨胀率,才可以推迟购买。
问题导入2
想一想:某人一年前向你借了 10 000 元钱,你是希望他现在归还,还是一年或更长时间以后再归还呢?
显然,大多数人都愿意选择现在归还。首先,人们会担心风险问题,欠账的时间越长,违约的风险就越大;其次,通货膨胀会导致物价上涨,货币贬值。然而,即使排除违约风险和通货膨胀这两个因素,人们还是希望现在就收回欠款,可以立即将其投入使用而得到一定的回报。如果一年或者更长的时间以后收回欠款,则牺牲了这段时间的投资回报。所以,一年后 10 000 元的价值要低于其现在的价值。这种资金增值的现象便是资金具有时间价值的属性。
资金时间价值是指一定量的货币作为社会资本在生产与流通领域经过一段时间之后带来的利润。时间价值不是由货币本身创造的,而是由社会劳动创造的。如现在的 10 000 元在单利为 2%情况下,一年后变成 10 200,这多出的 200 元就是 10 000 元的时间价值。
想一想
将 10 000 元放在家里的保险柜,一年后能增值吗?
资金的时间价值,可以从投资者和消费者两个方面理解:
①资金随着时间的推移,其价值会增加,这种现象称为资金增值。增值的原因是资金的投资和再投资。从投资者的角度来看,资金的增值特性使资金具有时间价值。
②资金一旦用于投资,就不能用于现期消费。从消费者的角度来看,资金的时间价值体现为对放弃现期消费的损失所应做的必要补偿。
资金时间价值需要注意以下问题:
①时间价值产生于生产流通领域,消费领域不产生时间价值;
②时间价值产生于资金运动之中;
③时间价值的大小取决于资金周转速度的快慢。
资金的时间价值是指资金的价值是随时间变化而变化的,是时间的函数,随时间的推移而发生价值的增加,增加的那部分价值就是原有资金的时间价值。资金在运动过程中产生增值,这里的时间是指资金的运动时间,如果把资金积压起来,不投入运动,时间再长也不会产生资金的时间价值。
影响资金时间价值的主要因素:
①资金的使用时间。在单位时间的资金增值率一定的条件下,资金使用时间越长,则资金的时间价值越大;使用时间越短,则资金的时间价值越小。
②资金数量的大小。在其他条件不变的情况下,资金数量越大,资金的时间价值就越大;反之,资金的时间价值就越小。
③资金投入和回收的特点。在总资金一定的情况下,前期投入的资金越多,资金的负效益越大;反之,后期投入的资金越多,资金的负效益越小。在资金回收额一定的情况下,离现在越近的时间回收的资金越多,资金的时间价值就越大;反之,离现在越远的时间回收的资金越多,资金的时间价值就越小。资金的负效益就是对资金的各种有害的影响。前期投入多,项目刚开始,各种未知因素多,负效益就大;项目后期,有害影响少了,负效益就少了。
④资金周转速度。资金周转越快,在一定的时间内等量资金的时间价值就越大;反之,资金的时间价值就越小。
资金时间价值可表示为一定量的货币在一定时间内所带来的利息或收益。一般把存在银行所得的资金增值称为利息,投资生产所得称为收益。因此,研究某个工程的经济效益一般用收益或收益率概念,分析资金信贷时用利息或利率概念。
 
   利息是资金时间价值的一种重要表现形式,通常用利息额的多少作为衡量资金时间价值的绝对尺度,用利率作为衡量资金时间价值的相对尺度。
(1)利息
在借贷过程中,债务人支付给债权人超过原借贷金额的部分就是利息,即:
 
   式中 I ——利息;
F ——目前债务人应付(或债权人应收)总金额,即还本付息总额;
P ——原借贷金额,常称为本金。
从本质上看,利息是由贷款发生利润的一种再分配。在工程经济分析中,利息常常被看成资金的一种机会成本。这是因为如果放弃资金的使用权利,相当于失去收益的机会,也就相当于付出了一定的代价。事实上,投资就是为了在未来获得更大的收益而对目前的资金进行某种安排。很显然,未来的收益应当超过现在的投资,正是这种预期的价值增长才能刺激人们从事投资。因此,在工程经济分析中,利息常常是指占用资金所付的代价或者是放弃使用资金所得的补偿。
(2)利率
在经济学中,利率的定义是从利息的定义中衍生出来的。也就是说,在理论上先承认了利息,再以利息来解释利率。在实际计算中,正好相反,常根据利率计算利息。
实质
银行利率就是资金时间价值的一种表现方式。
利率就是在单位时间内所得利息额与原借贷金额之比,它反映了资金随时间变化的增值率,通常用百分数表示,即:
 
   式中 i ——利率;
I t ——单位时间内所得的利息额。
用于表示计算利息的时间单位称为计息周期,计息周期 t 通常为年、半年、季、月、周或天。
年利率=月利率× 12 =日利率× 360
月利率=年利率÷ 12 =日利率× 30
日利率=月利率÷ 30 =年利率÷ 360
【例 2.1】 某公司现借得本金 1 000 万元,一年后付息 80 万元,则年利率为:
 
   利率是各国发展国民经济的重要杠杆之一,利率的高低由以下因素决定:
①利率的高低首先取决于社会平均利润率的高低,并随之变动。在通常情况下,社会平均利润率是利率的最高界限。因为如果利率高于利润率,无利可图,就不会去借款。
②信贷资金的供求状况。
a.供求规律起着调节价格的作用,信贷资金供大于求,利率下降,资金时间价值降低;供小于求,利率上升,资金时间价值增大。
b.当国家的紧缩调控政策的重点指向某个行业,例如 2010 年房地产行业调控,银行资金减少,则该行业内的信贷资金供应收紧,信贷资金利率上升,资金时间价值增大。
③借出资本要承担一定的风险,风险越大,利率越高。
④通货膨胀对利息的波动有直接影响,资金贬值往往会使利息无形中成为负值。
⑤借出资本的期限长短。贷款期限长,不可预见因素多,风险大,利率就高;反之,利率就低。
特别提示
信贷资金是指在再生产过程中存在和发展的以偿还为条件的供借贷使用的货币资金。其来源主要是各种形式的存款(财政性存款、企业存款、城乡居民储蓄存款等)以及银行自有资金。
(3)利息和利率在工程经济活动中的作用
①利息和利率是以信用方式动员和筹集资金的动力。以信用方式筹集资金有一个特点就是自愿性,而自愿性的动力在于利息和利率。例如一个投资者,他首先要考虑的是投资某一项目所得到的利息是否比把这笔资金投入其他项目所得的利息多。如果多,他就可以在这个项目投资;如果所得的利息达不到其他项目的利息水平,他就可能不在这个项目投资。
②利息促进投资者加强经济核算,节约使用资金。投资者借款需付利息,增加支出负担,这就促使投资者必须精打细算,把借入资金用到刀刃上,减少借入资金的占用,以少付利息。同时可以使投资者自觉减少多环节占压资金。
③利息和利率是宏观经济管理的重要杠杆。国家在不同的时期制定不同的利息政策,对不同地区、不同行业规定不同的利率标准,就会对整个国民经济产生影响。例如,对于限制发展的行业,利率规定得高一些;对于提倡发展的行业,利率规定得低一些,从而引导行业和企业的生产经营服从国民经济发展的总方向。同样,占用资金时间短的,收取低息;占用时间长的,收取高息。对产品适销对路、质量好、信誉高的企业,在资金供应上给予低息支持;反之,收取较高利息。
④利息与利率是金融企业经营发展的重要条件。金融机构作为企业,必须获取利润。由于金融机构的存放款利率不同,其差额成为金融机构业务收入。此款扣除业务费后就是金融机构的利润,所以利息和利率能刺激金融企业的经营发展。
利息的计算分为单利和复利两种方法。由于复利计息比较符合资金在社会再生产中的实际情况,所以利息计算在技术经济分析中采用复利法。
想一想
单利和复利有什么区别?
①单利法:每期均只对原始本金计息(利不生利),计算公式如下:
 
   则
 
   式中 P ——本金;
n ——计息期数;
i ——利率;
I ——利息;
F ——本利和。
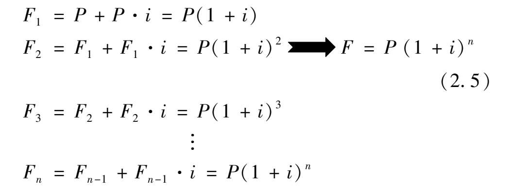
②复利法:对本金和利息计息,逐期滚算(利滚利)。复利计算的特点是把上期期末本利和作为下一期的本金,在计算时每一期本金的数额是不同的。
 
   【例 2.2】 假如某公司以单利方式借入 2 000 万元,年利率 5%,第5 年末偿还,则各年利息和本利和分别为多少?
【解】 计算过程见表 2.2。
表 2.2 例 2.2 计算过程 单位:万元
 
    
   【例 2.3】 假如某公司以复利方式借入 2 000 万元,年利率 5%,第5 年末偿还,则各年利息和本利和分别为多少?
【解】 计算过程见表 2.3。
表 2.3 例 2.3 计算过程 单位:万元
 
   续表
 
   从表 2.2 中可以看出,单利的年利息额都仅由本金产生,其新生利息不再加入本金产生利息,此即“利不生利”。这不符合客观的经济发展规律,没有反映资金随时都在“增值”的概念,也即没有完全反映资金的时间价值。因此,在工程经济分析中单利使用较少,通常只适用于短期投资或短期贷款。
【例 2.4】 利率为 20%的单利与复利比较,如图 2.2 所示。
 
    图 2.2 利率为 20%的单利与复利比较图
 
   由例 2.4 可知:同一笔借款,在利率相同的情况下,用复利计算出的利息金额数比用单利计算出的利息金额数大,而且年数越多时,两者差距就越大。
复利计算有间断复利和连续复利之分。按期(年、半年、季、月、周、日)计算复利的方法称为间断复利(即普通复利),按瞬时计算复利的方法称为连续复利。在实际使用中都采用间断复利,一方面是出于习惯,另一方面是因为会计通常在年底结算一年的进出款,按年支付税金、保险金和抵押费用,因此采用间断复利考虑问题更适宜。
【例 2.5】 某储户将 2 000 元存入银行 5 年,年利率为 5%。用单利法求存款到期时的利息及本利和。
【解】 根据公式 I = P · i · n ,所得利息为:
 
   本利和为:
 
   【例 2.6】 某工程投资需贷款 200 万元,年利率为 4%,5 年还清,用复利法求本利和。
【解】 根据公式 F = P (1 + i ) n ,本利和为:
 
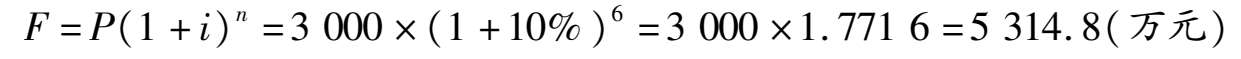
   【例 2.7】 某公司向银行借款 3 000 万元,借款期为 6 年,年利率为10%,分别按照单利和复利计算 6 年后应该还款的数额。
【解】 (1)按单利的计息方式:
 
   (2)按复利的计息方式:
 
   【例 2.8】 某公司向银行贷款 4 500 万元,5%的年利率,10 年后还清本利。问按单利和复利计息法,他到期应支付的本利和分别为多少?
【解】 若按单利法计息,到期应还本利和为:
 
   若按复利法计息,到期应还本利和为:
 
   按复利法计息比单利法计息需多支付 580.05 元。