



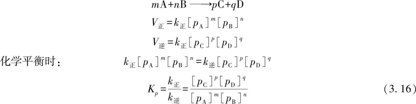
煤的气化过程是一个热化学过程,影响其化学过程的因素很多,除了气化介质、燃料接触方式影响外,其工艺条件的影响也必须考虑。为了清楚地分析、选择工艺条件,现首先分析煤炭气化过程中的化学平衡及反应速度。
在煤炭气化过程中,有相当多的反应是可逆过程。特别是在煤的二次气化中,几乎均为可逆反应。在一定条件下,当正反应速度与逆反应速度相等时,化学反应达到化学平衡。
式中 K p ——化学反应平衡常数;
p i ——各气体组分分压( i 分别代表A、B、C、D),kPa;
k 正 、 k 逆 ——分别为正、逆反应速度常数。
温度是影响气化反应过程煤气产率和化学组成的决定性因素。温度对化学平衡的关系如下:
式中 R ——气体常数,8.314kJ/ (kmol·K);
T ——绝对温度,K;
Δ H ——反应热效应,放热为负,吸热为正;
C ——常数。
从上式可以看出:若Δ H 为负值时,为放热反应,温度升高, K p 值减小,对于这类反应,一般来说降低反应温度有利于反应的进行。反之,若Δ H 为正值时,即吸热反应,温度升高, K p 值增大,此时升高温度有利于反应的进行。
例如气化反应式(3.3)、式(3.8)其反应如下:
两反应过程均为吸热反应,在这两个反应进行过程中,升高温度,平衡向吸热方向移动,即升高温度对主反应有利。
C与CO 2 反应生成CO,反应如式(3.8)所示,反应在不同温度下CO 2 与CO的平衡组成见表3.2.2,如图3.2.1所示。
表3.2.2 在不同温度下的反应中CO 2 与CO的平衡组成
从表3.2.2中可以看到,随着温度升高,其还原产物CO的含量增加。当温度升高到1000℃时,CO的平衡组成为99.1%。
图3.2.1 不同温度下的反应中CO与CO 2 的平衡组成
平衡常数 K p 不仅是温度函数,而且随压力变化而变化。压力对于液相反应影响不大,而对于气相或气液相反应平衡的影响是比较显著的。 CO 2 还原反应的平衡常数曲线如图3.2.2所示。根据化学平衡原理,升高压力平衡向气体体积减小的方向进行;反之,降低压力,平衡向气体体积增加方向进行。在煤炭气化的一次反应中,所有反应均为增大体积的反应,故增加压力,不利于反应进行。可由下列公式得出:
图3.2.2 CO 2 还原反应的平衡常数曲线
式中 K p ——用压力表示的平衡常数;
K N ——用物质的量表示的平衡常数;
Δ u ——反应过程中气体物质分子数的增加(或体积的增加)。
理论产率决定于 K N ,并随 K N 的增加而增大。当反应体系的平衡压力 p 增加时的 p Δ u 值由Δ u 决定。
如果Δ u <0,增大压力 p 后, p Δ u 减小。则由于 K p 是不变的,如果 K N 保持原来的值不变,就不能维持平衡,所以当压力增高时 K N 必然增加,因此加压有利,即加压使平衡向体积减少或分子数减小的方向移动。
如果Δ u >0,则正好相反,加压将使平衡向反应物方向移动,因此,加压对反应不利,这类反应适宜在常压甚至减压下进行。
如果Δ u = 0,反应前后体积或分子数无变化,则压力对理论产率无影响。
例如,在下列反应中:
Δ u = 2-1 = 1,此时Δ u >0,即反应后气体体积或分子数增加,如增大压力,则使 p Δ u 增大,平衡向左移动;相反,如此时减小压力,平衡则向右移动;因此上述反应适宜在减压下进行。
图3.2.3为粗煤气组成与气化压力的关系图,从图3.2.3中可见,压力对煤气中各气体组成的影响不同,随着压力的增加,粗煤气中甲烷和二氧化碳含量增加,而氢气和一氧化碳含量则减少。因此,压力越高,一氧化碳平衡浓度越低,煤气产率随之降低。
图3.2.3 粗煤气组成与气化压力的关系
由上述可知,在煤炭气化中,可根据生产产品的要求确定气化压力,当气化炉煤气主要用作化工原料时,可在低压下生产;当所生产气化煤气需要较高热值时,可采用加压气化。这是因为压力提高后,在气化炉内,在H 2 气氛中,CH 4 产率随压力提高迅速增加,发生如下反应:
上述反应均为缩小体积的反应,加压有利于CH 4 生成,而甲烷生成反应为放热反应,其反应热可作为水蒸气分解、二氧化碳等吸热反应热源,从而减少了碳燃烧中氧的消耗。也就是说,随着压力的增加,气化反应中氧气消耗量减少;同时,加压可阻止气化时上升气体中所带出物料的量,有效提高鼓风速度,增大其生产能力。
在常压气化炉和加压气化炉中,假定带出物的数量相等,则出炉煤气动压头相等,可近似得出,加压气化炉与常压气化炉生产能力之比如下式所示:
对于常压气化炉, p 1 通常略高于大气压,当 p 1 = 0.1078 MPa左右时,常压、加压炉的气化温度之比 T 1 / T = 1.1~1.25,可得:
例如气化压力为2.5~3 MPa的鲁奇加压气化炉,其生产能力将比常压下高5~6倍;又如(鲁尔-100)气化炉,当把压力从2.5 MPa提高到9.5 MPa时,粗煤气中甲烷含量从9%增至17%,气化效率从8%提高到85%。煤处理量增加一倍。氧耗量降低10%~ 30%。但是,从下列反应:
可知,增加压力,平衡左移,不利于水蒸气分解,即降低了氢气生成量。故增加压力,水蒸气消耗量增多。