



与光纤储能链路不同,光学环形谐振腔为谐振储能结构,满足谐振条件的光载微波信号可以在腔内长时间循环传输,保证了光电谐振腔的高品质储能特性,从而实现微波光电振荡器的低相位噪声信号输出。此外,谐振储能结构极大缩短了光电环路长度,不仅解决了微波光电振荡器严重的杂散模式问题,更有助于减小振荡系统的体积和功耗,进而实现微波光电振荡器封装的小型化。了解高品质光学环形谐振腔的基本特性,是理解其在微波光电振荡器中发挥关键作用的前提,本节重点介绍高品质光学环形谐振腔的传输模型和特征参数两部分内容。
微波光电振荡器中的高品质光学谐振腔通常采用环形结构,光纤环形谐振腔和回音壁模式光学微腔是其中最常用的两种类型。在实际应用中,根据耦合波导个数,光学环形谐振腔可以分为全通(All-pass)型和上传/下载(Add-drop)型两种典型结构,分别如图2-17(a)和(b)所示。通过构建统一模型可以得到两类光学环形谐振腔的传输响应,并进一步分析光学环形谐振腔基本参数对其品质因数等性能指标的影响。
图2-17 光学环形谐振腔的典型结构
1.全通型光学环形谐振腔传输模型
全通型光学环形谐振腔的传输模型如图2-18所示,其中包含四个基本参数:透射(直通耦合)系数 ρ∈ [0,1]、交叉耦合系数 k∈ [0,1]、腔内光场传输系数(简称传输系数) α 和传输相移 φ 。 a 1 、 a 3 、 b 2 和 b 4 定义为各耦合端口处光场复振幅,其模值的平方对应相应端口的光功率。假设耦合进谐振腔的光波单向传输且为线偏振态,耦合端口处无额外损耗,即
图2-18 全通型光学环形谐振腔的传输模型
全通型光学环形谐振腔的归一化传输矩阵可以表示为
光波在光学环形谐振腔内单向循环传输,耦合端口处光场 a 3 与 b 4 之间的关系为
其中,
为无量纲的光场振幅传输系数,它综合考虑了谐振腔中各类传输损耗,
α
l
(单位为m
-1
)和
L
分别为线性传输损耗系数和环形谐振腔长度;
φ
为光波在环形谐振腔内传输一周所累积的相位变化。
φ
可以通过传播常数
β
和环形谐振腔长度
L
表示为
其中, n eff 表示环形谐振腔的有效折射率, λ 和 ω 分别为入射光的波长和角频率, c 为真空中光速。基于式(2-42)和式(2-43),全通型光学环形谐振腔的光场传递函数可以表示为
假设输入光场振幅 a 1 =1,输出端 b 2 的功率| A ( φ )| 2 和相位 ϕ ( φ )可以分别表示为
其中, K 为正实数,它与耦合状态相关。
通过改变传输系数 α 与透射系数 ρ ,光学环形谐振腔将处于不同的工作状态,如图2-19所示。根据腔内介质材料损耗与增益系数的相对大小关系,光学环形谐振腔可以作为无源、有源和透明器件使用。当谐振腔由无源介质构成(即仅存在内部损耗且 α< 1)时,根据传输系数 α 与透射系数 ρ 之间的关系,光学环形谐振腔分别处于欠耦合( α<ρ )、过耦合( α>ρ )和临界耦合( α=ρ )状态;当腔内损耗与有源介质增益平衡( α =1)时,谐振腔输出光强与入射光强相等,此时谐振腔处于透明状态;当腔内有源增益大于本征损耗( α> 1)时,光学环形谐振腔将处于选择性放大状态,整体上可以视为光学放大器。为了避免系统自激振荡, α 通常小于起振阈值 α th =1/ ρ 。
图2-19 光学环形谐振腔的不同状态
由于传输相移 φ 与入射光频率一一对应,根据式(2-46)和式(2-47)可以得到光学环形谐振腔的幅频与相频响应特性曲线。假设透射系数 ρ= 0.5,当腔内传输系数 α 分别为0.1、0.3和0.5时,相应的光学环形谐振腔的幅频与相频响应特性曲线分别如图2-20(a)和(b)所示,其中FSR为自由光谱范围。当 α<ρ 时,谐振腔处于欠耦合状态,腔内循环光占入射光总功率的比例较小。随着传输系数 α 增大,谐振腔传输幅频响应的最小值减小,而相频变化速率加快,但是谐振频率(频偏为0)处相位变化值始终为0。当 α = ρ =0.5时,谐振腔处于临界耦合状态,满足谐振条件的光波在腔内干涉相长,而输出端透射光相位变化值为π,与入射光干涉相消,因此输出光强达到最小值。
图2-20 欠耦合、临界耦合状态下光学环形谐振腔的幅频和相频响应特性曲线
假设透射系数 ρ= 0.55,当腔内传输系数 α 分别为0.55、0.7和0.9时,对应的光学环形谐振腔的幅频与相频响应特性曲线分别如图2-21(a)和(b)所示。当 α>ρ 时,谐振腔处于过耦合状态,光学环形谐振腔内的循环光占输入光总功率的主要部分。当传输系数 α 增大时,谐振腔传输的幅频响应最小值增大,而相位变化速率变缓。
图2-21 过耦合状态下光学环形谐振腔的幅频和相频响应特性曲线
当 α =1时,光学环形谐振腔处于透明状态,输出光功率等于输入光功率,相当于不发生耦合过程;当 α> 1时,环形谐振腔处于选择性放大状态,其幅频和相频响应特性曲线分别如图2-22(a)和(b)所示,其中幅频响应特性曲线在谐振频率处存在增益峰值,随着传输系数 α 增大,增益逐渐升高,谐振频率处的相位变化速率加快。
图2-22 选择性放大状态下谐振腔的幅频和相频响应特性曲线
由式(2-46)和式(2-47)可知,在欠耦合和过耦合状态下可以得到相似的传输幅频响应特性曲线,而不同耦合状态下相频响应特性曲线则存在较大差异。相频响应特性曲线的变化斜率可以表示为
它与环形谐振腔的群时延相关。当发生谐振时,环形谐振腔的折射率变化引起光波群速度发生改变,从而对入射光产生延迟效果。通常群时延以 τ g 表示,它与相移 ϕ ( ω )之间的关系为
在不同耦合状态下,相频响应特性曲线的变化斜率 F D 不同,并且 F D 值的正负号分别对应“快光”区( τ g > 0)和“慢光”区( τ g < 0)。在谐振频率处,相频响应特性曲线斜率在过耦合状态下为负值,表现为正常色散效应,导致光波产生正延迟;而临界耦合和欠耦合状态则对应正相位斜率值和反常色散效应,导致光波产生负延迟效果。
2.上传/下载型光学环形谐振腔传输模型
与全通型环形谐振腔类似,上传/下载型光学环形谐振腔通常可以用图2-23所示的传输模型进行分析。假设两路光学波导与环形谐振腔之间的耦合系数分别为
k
1
和
k
2
,透射系数分别为
ρ
1
和
ρ
2
,两路耦合端口处均无额外损耗(即
=1)。
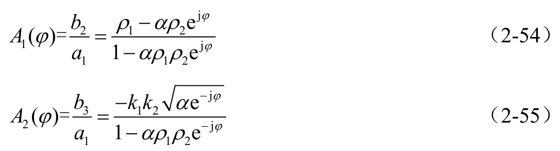
图2-23 上传/下载型光学环形谐振腔的传输模型
各端口处光场之间的关系同样可以用归一化矩阵表示为
为了便于分析,通常假设端口信号 a 4 无输入,耦合端口信号 a 2 与 b 4 、 a 3 与 b 1 之间的关系分别为
基于式(2-50)~式(2-53),上传/下载型光学环形谐振腔的直通端与下载端光场传递函数可以分别表示为
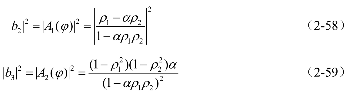
进而得到功率传递函数为:
当光学环形谐振腔中光波满足谐振条件,即 φ= 2 n π时,假设输入端光场 a 1 =1,则直通端和下载端光功率分别为:
由式(2-58)和式(2-59)可以分别得到上传/下载型光学环形谐振腔的直通端和下载端幅频响应特性。如图2-24(a)所示,直通端具有周期性的带阻陷波响应,下载端则呈现周期性的带通峰值响应。当 ρ 1 = αρ 2 时,谐振腔处于临界耦合状态,直通端输出光功率最小,下载端输出光功率最大。 ρ 1 、 ρ 2 和 α 均会对光学环形谐振腔的传输特性产生影响,当 ρ 1 和 α 确定时,谐振腔幅频响应随参量 ρ 2 的变化情况如图2-24(b)所示。
图2-24 上传/下载型光学环形谐振腔的幅频响应
基于上述传输模型理论,还可以推导出光学环形谐振腔的自由光谱范围FSR、半高全宽FWHM、品质因数 Q 和精细度 F 等参量的表达式,进而通过分析上述指标参数的影响因素,为光学环形谐振腔的性能优化提供理论依据。
光学环形谐振腔的特征参数是其性能指标(特别是储能能力)的量化表征,也是微波光电振荡器选型设计的重要参考。当采用光学环形谐振腔作为储能元件时,微波光电振荡器的工作频率和相位噪声水平主要与光学环形谐振腔的品质因数 Q 或精细度 F 有关。因此,本节基于光学环形谐振腔的传输模型,推导品质因数 Q 与精细度 F 两个特征参数的基本表达式,并分析其与理论模型中环形谐振腔基本参数之间的关系。
如图2-25所示,光学环形谐振腔具有谐振选频特性,其谐振模式呈周期性分布特征,相邻两个谐振模式之间的频率间隔称为自由光谱范围FSR。对于单个谐振模式,由于不同谐振腔的光波损耗程度不同,谐振模式宽度也不相同,因此通常利用谐振模式的半高全宽(FWHM)对其进行量化表征。
图2-25 光学环形谐振腔谐振模式示意图
自由光谱范围FSR通常可以表示为
其中, n g 表示环形谐振腔的群折射率。
由式(2-60)可知,对于特定材料和入射光波长,光学环形谐振腔的自由光谱范围FSR仅与谐振腔腔长 L 有关。图2-26给出了光纤环形谐振腔和二氧化硅微盘腔( n g 均取1.45)自由光谱范围FSR的各一组典型值。由于光纤环形谐振腔和回音壁模式光学微腔的尺寸差别很大,其自由光谱范围FSR的量级也相差很大。
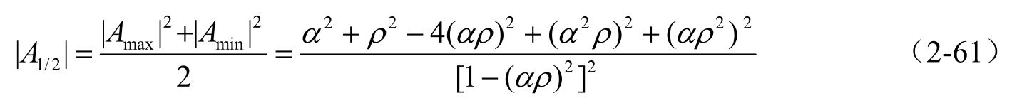
谐振模式半高全宽是指光学环形谐振腔传输功率降低至一半时谐振模式两侧光波的频率差。根据式(2-46),| A 1/2 | 2 可以表示为
图2-26 光纤环形谐振腔(a)和二氧化硅微盘腔(b)的自由光谱范围FSR与腔长 L 之间的关系曲线
其中,|
A
max
|
2
为远离谐振频率的最大传输功率,即
;|
A
min
|
2
为谐振频率处最小传输功率,即
。传输功率|
A
1/2
|
2
也可以表示为
其中,相移 φ 1/2 可以通过式(2-61)和式(2-62)直接得到
联立式(2-44)和式(2-63),环形谐振腔半高全宽FWHM可以表示为
式(2-64)表明,当光学环形谐振腔的腔长确定时,谐振模式的半高全宽主要受到传输系数 α 和透射系数 ρ 的共同影响。当乘积 αρ 逐渐接近1时,谐振模式半高全宽随之减小。因此,通过调节耦合比和降低传输损耗,可以实现更窄的谐振模式线宽。
当光学环形谐振腔的自由光谱范围FSR和半高全宽(FWHM)已知时,也可以通过精细度 F 表征谐振谱线的质量。精细度 F 为无量纲量,其定义为光学环形谐振腔的自由光谱范围(FSR)与半高全宽(FWHM)之比,即
光学环形谐振腔的精细度越高,谐振谱线的谐振峰越尖锐。光纤环形谐振腔的精细度通常为数百量级,而高品质回音壁模式光学微腔的精细度可高达上百万。
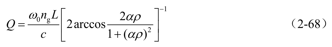
品质因数( Q )是光学环形谐振腔的关键参数,它直接反映了谐振腔储能能力的强弱。品质因数通常定义为腔内存储的能量与单位周期内腔内损耗能量之比。为了更精确地量化,也可以采用谐振频率 v 0 与FWHM的比值进行定义。因此,品质因数( Q )可以表示为
或
其中, E 为谐振腔储存总能量,- T d E /d t 表示单周期内耗散能量。由式(2-64)和式(2-67),在0 <αρ< 1条件下,品质因数与谐振腔基本参数之间的关系为
式(2-68)表明:对于特定入射波长,当谐振腔材料和尺寸确定时,品质因数( Q )随着乘积 αρ 的增加而提高。
相比于传统微波谐振腔,光学环形谐振腔能够将谐振模式的3dB带宽特性传递至微波域,并且等效微波(射频)品质因数 Q RF 与光学品质因数 Q opt 之间的关系可以表示为
其中, f RF 和 f opt 分别为微波(射频)谐振频率和光学谐振频率。由式(2-69)可知,等效微波品质因数与微波谐振频率成正比。因此在输入光学频率固定的情况下,谐振腔的等效微波品质因数随着微波谐振频率的提高而增加,这与传统微波谐振腔情况存在差异。为了实现比传统微波谐振腔更高的等效微波品质因数,光学品质因数通常应高于10 8 。因此,为了提升微波光电振荡器的储能能力,需要设计选用高品质、高精细度的光学环形谐振腔。