



第 8.1.1 条 刚性基础可用于六层和六层以下(三合土基础不宜超过四层)的民用建筑和墙承重的厂房。
第 8.1.2 条 基础底面的宽度,应符合下式要求(图 8.1.2)
式中 b ——基础底面宽度;
b 0 ——基础顶面的砌体宽度;
H 0 ——基础高度;
tg α ——基础台阶宽高比的允许值,可按表8.1.2选用。
图 8.1.2 刚性基础构造示意
d ——柱中纵向钢筋直径
刚性基础台阶宽高比的允许值表 8.1.2
注:① p 为基础底面处的平均压力(kPa);
②阶梯形毛石基础的每阶伸出宽度,不宜大于200mm ;
③当基础由不同材料叠合组成时,应对接触部分作抗压验算;
④对混凝土基础,当基础底面处的平均压力超过300kPa时,尚应按下式进行抗剪验算:
V ≤0.07 f e A
式中 V ——剪力设计值;
f e ——混凝土轴心抗压强度设计值;
A ——台阶高度变化处的剪切断面。
第 8.2.1 条 扩展基础系指柱下钢筋混凝土独立基础和墙下钢筋混凝土条形基础。
第8.2.2条 扩展基础的构造,应符合下列要求:
一、锥形基础的边缘高度,不宜小于 200mm;阶梯形基础的每阶高度,宜为 300~500m m ;
二、垫层的厚度,宜为 50~100mm;
三、底板受力钢筋的最小直径不宜小于8mm,间距不宜大于200mm。当有垫层时钢筋保护层的厚度不宜小于35mm,无垫层时不宜小于70mm;
四、混凝土强度等级不宜低于C15。
第 8.2.3 条 对于现浇柱的基础,如与柱不同时浇灌,其插筋的数目及直径应与柱内纵向受力钢筋相同。插筋的锚固及与柱的纵向受力钢筋的搭接长度,应符合国家现行《混凝土结构设计规范》的规定。
第 8.2.4 条 预制钢筋混凝土柱与杯口基础的连接,应符合下列要求(图 8.2.4)
图 8.2.4 预制钢筋混凝土柱独立基础示意
注: a 2 ≥ a 1 。
一、柱的插入深度,可按表 8.2.4-1 选用,并应满足锚固长度的要求和吊装时柱的稳定性(即不小于吊装时柱长的 0.05 倍)。
柱的插入深度 h 1 (mm)表8.2.4-1
注:① h 为柱截面长边尺寸; d 为管柱的外直径; h a 为双肢柱整个截面长边尺寸; h b 为双肢柱整个截面短边尺寸;
②柱轴心受压或小偏心受压时, h 1 可适当减小,偏心距大于2 h (或2 d )时, h 1 应适当加大。
二、基础的杯底厚度和杯壁厚度,可按表 8.2.4-2 选用。
基础的杯底厚度和杯壁厚度表 8.2.4-2
续表 8.2.4-2
注:①双肢柱的杯底厚度值,可适当加大;
②当有基础梁时,基础梁下的杯壁厚度,应满足其支承宽度的要求;
③柱子插入杯口部分的表面应凿毛,柱子与杯口之间的空隙,应用比基础混凝土强度等级高一级的细石混凝土充填密实,当达到材料设计强度的 70%以上时,方能进行上部吊装。
三、当柱为轴心或小偏心受压且
时,或大偏心受压且
时,杯壁可不配筋;当柱为轴心或小偏心受压且
时,杯壁可按表8.2.4-3构造配筋;其他情况下,应按计算配筋。
杯壁构造配筋表 8.2.4-3
注:表中钢筋置于杯口顶部,每边两根。
第 8.2.5 条 预制钢筋混凝土柱(包括双肢柱)与高杯口基础的连接(图 8.2.5-1),应符合本规范第 8.2.4 条插入深度的规定。当满足下列要求时,其杯壁配筋,可按图 8.2.5-2的构造要求进行设计。
图 8.2.5-1 高杯口基础示意
一、吊车在75t以下,轨顶标高14m以下,基本风压小于0.5kPa的工业厂房;
二、基础短柱的高度不大于 5m;
三、杯壁厚度符合表 8.2.5 的规定。
图 8.2.5-2 高杯口基础构造配筋示意
高杯口基础的杯壁厚度 t 表 8.2.5
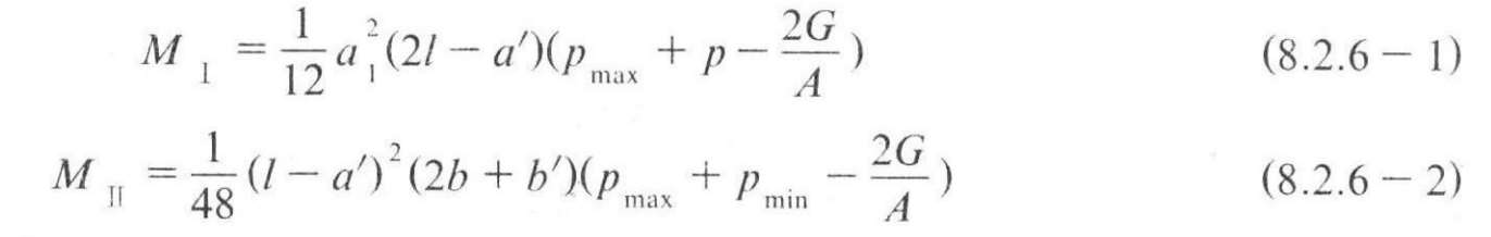
第 8.2.6 条 扩展基础的计算,应符合下列要求:
一、基础底面积,应按本规范第五章有关规定确定;
二、基础高度和变阶处的高度,应按国家现行《混凝土结构设计规范》中的冲切、剪切公式计算确定;
三、在轴心或单向偏心荷载作用下底板受弯可按下列简化方法计算:
1.对于矩形基础,当台阶的宽高比小于或等于2.5和偏心距小于或等于1 /6基础宽度时,任意截面的弯矩可按下列公式计算(图8.2.6-1)
式中 M Ⅰ 、 M Ⅱ ——任意截面Ⅰ-Ⅰ、Ⅱ-Ⅱ处的弯矩设计值;
a 1 ——任意截面Ⅰ-Ⅰ至基底边缘最大反力处的距离;
l 、 b ——基础底面的边长。
2.对于墙下条形基础任意截面的弯矩(图8.2.6-2),可取 l = a ' =1m按式(8.2.6-1)进行计算,其最大弯矩截面的位置,应符合下列规定:
如当墙体材料为混凝土时,取 a 1 = b 1 ;
如为砖墙且放脚不大于1 /4砖长时,取 a 1 = b 1 +0.06。
3.对于钢柱基础,尚应验算地脚螺栓与栓边距离的1 /2处截面的弯距。
四、基础底板的配筋,应按国家现行《混凝土结构设计规范》有关规定计算。
图 8.2.6-1 矩形基础底板的计算
图 8.2.6-2 墙下条形基础的计算
第8.3.1 条 柱下条形基础的构造,除参照本规范第8.2.2条规定外,尚应符合下列要求:
一、柱下条形基础的梁高宜为柱距的 1 /4~1 /8。翼板厚度不宜小于 200mm。当翼板厚度为 200~250mm时,宜用等厚度翼板;当翼板厚度大于 250mm时,宜用变厚度翼板,其坡度小于或等于 1 ∶ 3;
二、一般情况下,条形基础的端部应向外伸出,其长度宜为第一跨距的 0.25~0.3 倍;
三、现浇柱与条形基础梁的交接处,其平面尺寸不应小于图 8.3.1 的规定;
图8.3.1 现浇柱与条形基础梁交接处平面尺寸
四、条形基础梁顶面和底面的纵向受力钢筋,应有 2~4 根通长配筋,且其面积不得小于纵向钢筋总面积的 1 /3。
五、柱下条形基础的混凝土强度等级,可采用C20。
第 8.3.2 条 柱下条形基础的计算,除应符合本规范第 8.2.6 条一、二款的要求外,尚应符合下列原则:
一、在比较均匀的地基上,上部结构刚度较好,荷载分布较均匀,且条形基础梁的高度大于 1 /6 柱距时,地基反力可按直线分布,条形基础梁的内力可按连续梁计算,此时两端边跨应增加受力钢筋,并上下均匀配置;
二、当不满足本条第一款时,宜按弹性地基梁计算;
三、对交叉条形基础,交点上的柱荷载,应按刚度分配或变形协调的原则,沿两个方向分配。其内力可按本条上述规定,分别按两个方向进行计算;
四、当存在扭矩时,尚应作抗扭计算。
第 8.4.1 条 墙下筏板基础的构造,应符合下列要求:
一、墙下筏板基础,宜为等厚度的钢筋混凝土平板;
二、垫层厚度宜为 100mm;
三、筏板配筋除符合计算要求外,纵横方向支座钢筋,尚应分别有 0.15%、0.10%配筋率连通,跨中钢筋应按实际配筋率全部连通;
四、底板受力钢筋的最小直径不宜小于 8mm。当有垫层时,钢筋保护层的厚度不宜小于 35mm;
五、混凝土强度等级,可采用C20。对于地下水位以下的地下室筏板基础,尚需考虑混凝土的防渗等级。
第 8.4.2 条 墙下筏板基础的计算,应符合下列要求:
一、基础底面积,应按本规范第五章有关规定计算;
二、筏板厚度,应根据抗冲切、抗剪切要求确定;
三、墙下筏板基础的内力,可按下列简化方法计算;
1.在比较均匀的地基上,当上部结构刚度较好时,可不考虑整体弯曲,但在端部第一、二开间内应将地基反力增加 10~20%,按上下均匀配筋;
在计算局部弯曲时,对于压缩模量小于或等于4MPa的地基,可按直线分布地基反力计算内力,并应进行抗裂验算;对于厚度大于1 /6墙间距离的筏板,可取单位宽度的条形,按直线分布地基反力计算内力;
2.如不满足上述条件时,应按弹性地基梁、板方法计算,当采用文克尔地基模型时,应适当选择基床系数值。
注:对某些特殊情况,不宜采用简化方法计算时,可采用有限单元法计算。
第 8.4.3 条 墙下浅埋筏板基础(包括不埋式筏板)可适用于具有硬壳层(包括人工处理形成的)比较均匀的软弱地基,六层及六层以下横墙较密的民用建筑。基构造除满足本规范第 8.4.1 条规定外,尚应符合下列要求:
一、浅埋筏板基础的埋置深度,除按本规范第四章有关规定执行外,宜做架空地板,其净空应满足管道检修的要求。如采用不埋式筏板,四周必须设置边梁,底板四角尚应布置放射状附加钢筋;
二、筏板厚度也可根据楼层层数按每层 50mm确定,但不得小于 200mm;
三、筏板悬挑墙外的长度,从轴线起算横向不宜大于 1500mm,纵向不宜大于1000m m ;
四、当预估沉降量大于120mm时,必须加强上部结构的刚度和强度,并应满足本规范第七章第三、四两节有关要求。
第 8.5.1 条 正圆锥形及其组合型式的壳体基础(图 8.5.1),可用于一般工业与民用建筑柱基和筒形构筑物(如烟囱、水塔、料仓、中小型高炉等)基础。其偏心距不得大于基础水平投影面最大半径的 0.25 倍。
图8.5.1 壳体基础的结构型式和荷载示意
r —基础水平投影面最大半径; r c —内倒球壳的曲率半径
第 8.5.2 条 壳体基础的构造,应符合下列要求(图 8.5.2-1)。
一、正圆锥壳的壳面倾角 α 可取 30 ° ~40 ° ;内倒锥壳的壳面倾角 α 1 可取 20 ° ~30 ° ;内倒球壳的壳面倒角 φ 1 可取30 ° ~40 ° ;
组合壳体中内外壳的角度配合,可取 α 1 ≈ α -10 ° ; φ 1 ≥ α ;
二、壳壁厚度可按表 8.5.2-1 选用,但不得小于 80mm。壳壁与杯壁(或上环梁)的连接部位应适当增厚,增加的最大厚度不宜小于壳壁厚度的50%;
三、边梁的边缘高度应大于或等于壳壁厚度;底面宽度应等于 1.5~2.5 倍壳壁厚度;截面面积应大于或等于1.3 tl b (图8.5.2-2);
壳壁厚度t表 8.5.2-1
注:①表中正圆锥壳壳壁厚度系按不允许出现裂缝要求制定的,如不能满足规定时,应根据使用要求进行抗裂度或裂缝宽度验算;
②当基础有可能受到腐蚀时,应采取防腐蚀措施,并适当增加壳壁厚度;
③最大净反力为 p m a x — G / A 。
图 8.5.2-1 壳体基础的构造示意
t —正圆锥壳的壳壁厚度; t 1 —内倒球壳的壳壁厚度
图 8.5.2-2 边梁截面示意
四、正圆锥壳的径向钢筋,以及内倒锥(或内倒球)壳的径向和环向钢筋可按构造要求配置,其直径和最大间距可按表8.5.2-2选用。壳壁厚度大于150mm的部位和内倒锥(或内倒球)壳距边缘不小于 r 1 /3的范围内均应配置双层构造钢筋(图 8.5.2-1)。内倒球壳边缘附近环向钢筋和底层径向钢筋应适当加强。
五、壳体基础的混凝土强度等级不得低于C20;作为构筑物基础时不宜低于C30。非预应力配筋壳体的钢筋宜采用Ⅰ、Ⅱ级钢筋,钢筋保护层不应小于35mm。
壳体基础的构造钢筋表 8.5.2-2
注:①径向构造钢筋上端应伸入杯壁(或上环梁)内,并应满足锚固长度要求;
②内倒锥壳构造钢筋,应按边缘最大厚度选用。
第 8.5.3 条 壳体基础的设计计算,应符合下列要求:
一、基础底面积和基底竖向压力,可按水平投影面积及其形状相同的实体基础计算;
二、当符合本规范第 8.5.1 条,第 8.5.2 条的要求时,正圆锥壳的径向应力和组合壳中的内壳(倒锥壳或倒球壳)应力可不予计算,环向拉力可按本规范附录十三计算,边梁段配筋面积,应按计算值增加 30%;
三、高耸结构基础,应考虑施工期间最大偏心荷载在正圆锥壳顶部可能产生的径向拉力,当拉力数值大于径向钢筋所能承受的强度时,应根据计算结果适当调整径向钢筋数量。或在上部一定范围内增加径向短筋;
四、组合壳体基础顶部的环梁,除配置适当的环向钢筋和箍筋外,在上面遇有烟道或开孔部分,应采取加强措施。必要时可按两端嵌固的曲梁进行计算,曲梁下面的荷载取向外壳最大径向力的竖向分力之和。
第 8.6.1 条 本节所指的桩基础,仅包括混凝土预制桩基础和混凝土灌注桩基础。
桩按受力情况可分为:
摩擦桩:桩上的荷载由桩侧摩擦力和桩端阻力共同承受;
端承桩:桩上的荷载主要由桩端阻力承受。
第 8.6.2 条 桩和桩基的基本构造,应符合下列要求:
一、桩的中心距,不宜小于3倍桩身直径,如为扩底灌注桩,不宜小于1.5倍扩底直径;
二、扩底灌注桩的扩底直径,不宜大于三倍桩身直径;
三、桩端进入持力层的深度,根据地质条件确定,一般为1~3倍桩径。嵌岩灌注桩的周边嵌入微风化或中等风化岩体的最小深度,不宜小于0.5m;
四、预制桩的混凝土强度等级,不应低于C30,灌注桩不应低于C15;水下灌注时不应低于C20;
五、桩的主筋应按计算确定,计算时,应考虑作用在桩顶上的水平力和力矩,预制桩的最小配筋率不宜小于 0.8%;灌注桩的最小配筋率当承压时不宜小于 0.2%,受弯时不宜小于 0.4%,其主筋长度当为抗拔时应通长配置;
六、桩顶嵌入承台内长度不宜小于 50mm;当桩主要承受水平力时,不宜小于100mm,主筋伸入承台内的锚固长度,不宜小于30倍钢筋直径。
第8.6.3条 单桩的承载力,应按下列规定确定:
一、对于一级建筑物,单桩的竖向承载力标准值,应通过现场静荷载试验确定。在同一条件下的试桩数量,不宜少于总桩数的 1%,并不应少于 3 根,单桩的静载荷试验,可按本规范附录十四进行。
对于二级建筑物,也可参照地质条件相同的试验资料,根据具体情况确定。
初步设计时,可用下列公式估算:
摩擦桩:
端承桩:
式中 R k ——单桩的竖向承载力标准值;
q p ——桩端土的承载力标准值,可按地区经验确定,对于预制桩也可按本规范附录十五选用;
A p ——桩身的横截面面积;
μ p ——桩身周边长度;
q si ——桩周土的摩擦力标准值,可按地区经验确定,对于预制桩也可按本规范附录十五选用;
l i ——按土层划分的各段桩长。
二、嵌岩灌注桩按端承桩设计,要求桩底以下三倍桩径范围内,应无软弱夹层、断裂带、洞隙分布;在桩端应力扩散范围内无岩体临空面。桩端岩石承载力设计值,应根据岩石强度及施工条件确定,当桩底与岩石间无虚土存在时,可按本规范第 3.2.5 条确定。
施工中应仔细做好桩底检验,若遇异常情况应采取补救措施;
三、单桩的水平承载力取决于桩的材料强度、截面刚度、入土深度、桩侧土质条件、桩顶水平位移允许值和桩顶嵌固情况等因素,宜通过现场试验确定;
四、除按上列方法确定单桩承载力外,尚应对桩身材料进行强度或抗裂度验算。
对于预制桩,尚应进行运输、起吊和锤击等过程中的强度验算。
必要时可考虑桩侧负摩擦力。
第 8.6.4 条 单桩承受水平力和力矩作用时,桩身的内力和变位可按m法计算。
第 8.6.5 条 桩基设计,应符合下列原则:
一、对下列桩基,当符合本规范第 8.6.2条、第8.6.3条要求时,桩基的竖向抗压承载力为各单桩竖向抗压承载力的总和:
1.端承桩基;
2.桩数少于 9 根的摩擦桩基;
3.条形基础下的桩不超过两排者;
二、对于桩的中心距小于6倍桩径(摩擦桩),而桩数超过9根(含9根)的桩基,可视作一假想的实体深基础,应按本规范第五章和第8.6.6条的规定进行设计;
三、当作用于桩基上的外力主要为水平力时,必须对桩基的水平承载力进行验算;
四、当桩基承受拔力时,必须对桩基进行抗拔力的验算;
五、当建筑物对桩基的沉降有特殊要求时,应作变形验算;
六、桩基上的荷载合力作用点,应尽量与桩群重心相重合。
第8.6.6条 桩基中单桩所承受的外力,应按下列公式验算:
当轴心受压时
注:对桩数为3根及3根以下的柱下桩台,取 R = 1.1 R k
当偏心受压时,除满足公式(8.6.6-1)外,尚应满足下式要求:
式中 Q ——桩基中单桩所承受的外力设计值;
R ——单桩竖向承载力设计值;
F ——作用于桩基上的竖向力设计值;
G ——桩基承台自重设计值和承台上的土自重标准值;
n ——桩数;
R k ——按本规范第8.6.3条确定的单桩竖向承载力标准值;
M x 、 M k ——作用于桩群上的外力对通过桩群重心的 x 、 y 轴的力矩设计值;
x i 、 y i ——桩 i 至通过桩群重心的 y 、 x 轴线的距离。
当外力作用面内的桩矩较大时,桩基的水平承载力可视为各单桩的水平承载力的总和,当承台侧面的土未经扰动或回填良好时,应考虑土抗力的作用;当水平推力较大时,宜设置斜桩。
第8.6.7条 桩基承台的构造,除按计算和满足上部结构需要外,尚应符合下列规定:
一、承台宽度不宜小于 500mm,周边至边桩的净距不宜小于 0.5 倍桩径(或边长),厚度不宜小于 300mm;
二、承台配筋应按计算确定,对于三桩承台,应按三向板带均布配置;对于矩形承台,应按双向均布配置(图 8.6.7);
三、混凝土强度等级不宜低于C15。钢筋保护层厚度不宜小于 50mm。
图 8.6.7 承台配筋示意
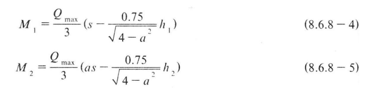
第 8.6.8 条 桩基承台的内力,可按简化计算方法确定。
并应按国家现行《混凝土结构设计规范》进行局部承压、受冲切,受剪及受弯的强度计算。对于一般柱下桩基承台的弯矩,可按下列方法确定:
一、多桩矩形承台计算截面取在柱边和承台高度变化处(杯口外侧或台阶边缘)。
式中 M xi 、 M yi ——垂直 y 轴和 x 轴方向计算截面处的弯矩设计值;
x i 、 y i ——垂直 y 轴和 x 轴方向自桩轴线到相应计算截面的距离。
二、三桩承台
1.等边三桩承台
式中 M ——由承台形心到承台边缘距离范围内板带的弯矩设计值;
s ——桩距;
h ——方柱边长或圆柱直径。
2.等腰三桩承台
式中 M 1 、 M 2 ——由承台形心到承台两腰和底边的距离范围内板带的弯矩设计值;
h 1 ——垂直于承台底边的柱截面边长;
h 2 ——平行于承台底边的柱截面边长;
s ——长向桩距;
a ——短向桩距与长向桩距之比,当 a 小于0.5时,应按变截面的二桩承台设计。
注:计算配筋量时,梁宽取桩的直径。
第 8.7.1 条 岩石锚杆基础可用于直接建造在基岩上的柱基,以及承受拉力或水平力较大的建筑物基础。锚杆基座应与基岩连成整体,并应符合下列要求:
一、锚杆孔直径,宜取三倍锚杆直径,但不应小于一倍锚杆直径加50mm。锚杆基础的构造要求,可按图 8.7.1 采用;
图 8.7.1 锚杆基础
d 1 —锚杆孔直径; l —锚杆的有效锚固长度; d —锚杆直径
二、锚杆插入上部结构的长度,必须符合钢筋的锚固长度要求;
三、锚杆宜采用螺纹钢筋,水泥砂浆(或细石混凝土)强度等级不宜低于M30,灌浆前,应将锚杆孔清理干净。
第 8.7.2 条 锚杆基础中单根锚杆所承受的拔力设计值,应按下列公式验算:
式中 Q t ——单根锚杆所承受的拔力设计值;
R t ——单根锚杆的抗拔力。
对一级建筑物,单根锚杆抗拔力应通过现场试验确定;对于其他建筑物可按下式计算:
式中 f ——砂浆与岩石间的粘结强度设计值(MPa),水泥砂浆可取M30, f 值可按表8.7.2选用。
砂浆与岩石间的粘结强度 f 设计值(MPa)表8.7.2