



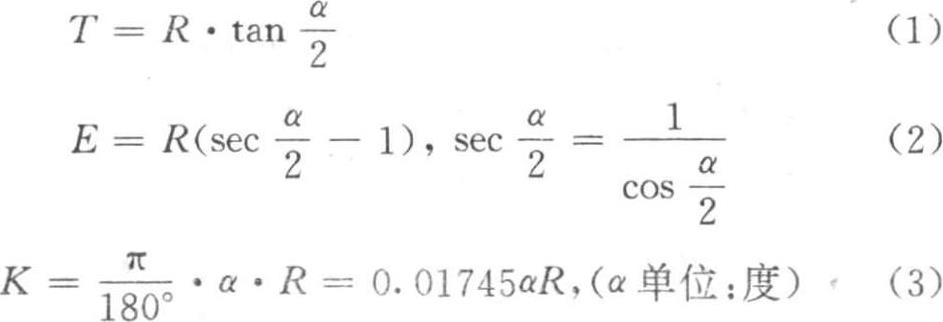
现介绍我们施工中碰到障碍物时测设道路平曲线的反偏角法,见图1。具体步骤如下。
在道路两中线上选取 A 、 B 两点,各置经纬仪延长视线交汇,测出交点 IP ,打木桩钉入小钉。再移经纬仪置 IP 点,后视 A 点,倒镜前视 B 点,测得交点外角即圆心角 α 。交点内角为180° - α 。
图1 道路平曲线的测设示意
根据设计曲线半径 R 及实测圆心角 α 计算切线长 T 、外距 E 和曲线全长 K 如下式:
再按 K /20m将曲线及圆心角分为偶数 n 等分,计算加密点间偏角 θ 及弦长 C i 如下式:
从交点 IP 向 A 、 B 方向各量切线长 T ,测得曲线起点 BC 及曲线终点 EC ;沿交点内角平分线量外距 E ,测得曲线中点 AC 。均打木桩钉入小钉。
经纬仪移置曲线中点
AC
,后视曲线起点
BC
,右转
θ
角,从
BC
点量
C
i
距离,交汇视线,测得①点,打木桩点红点;再右转
θ
角,使经纬仪显示2
θ
读数,从①点量
C
i
距离,交汇视线,测得②点,打木桩点红点;再右转
θ
角,经纬仪显示3
θ
读数,从②点量
C
i
距离,交汇视线,测得③点,打木桩点红点……这样测至最后一点,量其至
AC
点间距离与
C
i
之差值
Δ
,若±
Δ
≤0.03m,则按
算出加密点间均差值,进行平差,以加密点间距离为
C
i
±
Δ
,移动木桩上红点,钉入小钉。测完
AC
点左边曲线。
经纬仪改后视曲线终点
EC
,左转
θ
角,从
EC
量
C
i
距离,交汇视线,测得
点,打木桩点红点;再左转
θ
角,经纬仪显示2
θ
读数,从
点量
C
i
距离,交汇视线,测得
,打木桩点红点……测至最后一点,量该点至
AC
点间距离与
C
i
的差值
Δ
,若±
Δ
≤0.03m,则按
算出加密点间均差值,进行平差,以加密点间距离为
C
i
±
Δ
,移动木桩上红点,钉入小钉。又测完
AC
点右边曲线。
如遇± Δ >0.03m,则要检查出错误后重测。此法也适用于无障物道路平曲线的测设。
例如,测设某道路平曲线,其设计半径 R =200m,按如下步骤进行。
1.测交点及圆心角。选道路中线上两点 A 、 B ,各置经纬仪延长视线交汇出交点 IP ,打木桩钉入小钉。再移经纬仪置 IP 点,后视 A 点,倒镜前视 B 点,测得交点外角即圆心角 α =120°。交点内角为180° -120°=60°。
2.计算曲线要素及加密点间偏角、弦长。
切线长
T
=200 · tan
=346.41(m)
外距
E
=200 ·(sec
-1)=200(m)
曲线全长 K =0.01745×120°×200=418.879(m)
因为 K /20=418.879/20=20.944,故选 n =20,则
加密点间偏角
θ
=
=
=3°
加密点间弦长 C i =2×200/sin3°=20.934(m)
3.测设曲线三主点。从 IP 向 A 、 B 方向各量 T =346.41m,测得曲线起点 BC 及曲线终点 EC ;从 IP 点沿交点内角平分线量 E =200m,测得曲线中点 AC 。皆打木桩钉入小钉。
4.测设曲线各加密点。移经纬仪置曲线中点
AC
,后视曲线起点
BC
,右转
θ
=3°,从
BC
点量
C
i
=20.934m,交汇视线,测得①点,打木桩点红点;再右转3°,使经纬仪显示6°,从①点量20.934m,交汇视线,测得②点,打木桩点红点;再右转3°,使经纬仪显示9°,从②点量20.934m,交汇视线,测得③点,打木桩点红点……测至⑨点,量⑨点至
AC
点距离为20.914m。则
Δ
=20.914-20.934=-0.02(m),
Δi
=
=-0.002(m)。以20.934-0.002=20.932m为加密点间距离,移动木桩红点,钉入小钉。测完
BC
至
AC
曲线。
转经纬仪后视曲线终点
EC
,左转3°,从
EC
点量20.934m,交汇视线,测得
点,打木桩点红点;再左转3°,使经纬仪显示6°,从
点量20.934m,交汇视线,测得
点,打木桩点红点;再左转3°,使经纬仪显示9°,从
点量20.934m,交汇视线,测得
,打木桩点红点……测至
,量
点至
AC
点距离为20.937m,则
Δ
=20.937 -20.934=0.003(m),不用平差,将木桩上红点钉入小钉,测完
EC
至
AC
曲线。至此测完全曲线。
(王长根)