



[例1]试求北京地区80住2—4住宅建筑耗热量指标。已知该住宅为砖混结构,4个单元6层楼,层高2.7m,南北向,单层钢窗,楼梯间不采暖;采暖期Z=125d,采暖期室外平均温度
=-1.6℃;建筑面积A
0
=3258.8m
2
,建筑体积V
0
=8749.4m
3
,外表面积F
0
=2459.9m
2
,体形系数S=0.281,换气体积V=0.6V
0
=5249.6m
3
。各部分围护结构的传热系数和传热面积见表3-6-1。建筑物耗热量指标计算见表3-6-2。
各部分围护结构的传热系数和传热面积 表3-6-1
建筑物耗热量指标的计算 表3-6-2
计算结果表明:北京地区80住2-4住宅,采取节能措施前,其建筑物耗热量指标为31.82W /m 2 。
[例2]根据例1求得的北京地区80住2-4住宅建筑耗热量指标q H =31.82W/m 2 ,试求采暖耗煤量指标。
根据本章第四节式(3-4-4),采暖耗煤量指标:
计算结果表明:北京地区80住2-4住宅,采取节能措施前,其采暖耗煤量指标为25.09kg/m 2 标准煤。
[例3]试求北京地区住宅建筑满足耗热量指标q H =20.6W/m 2 时外墙所需传热系数。已知建筑物平面、朝向、建筑面积、体积、窗墙面积比、楼梯间隔墙、地面均同[例1]。屋顶传热系数K R =0.80,双玻钢窗K G =4.0,阳台门下部K B =1.7,户门K D . s =2.7。外墙所需传热系数的计算见表3-6-3。
外墙所需传热系数的计算 表3-6-3
续表3-6-3
计算结果表明:北京地区住宅建筑满足耗热量指标q H =20.6W/m 2 时,外墙所需传热系数为1.16W/(m 2 ·K),但建筑物体形系数应小于或等于0.30,窗户采用双玻金属窗。
[例4]试求北京地区住宅建筑满足耗热量指标q H =20.6W/m 2 时窗户所需传热系数。已知建筑物平面、朝向、建筑面积、体积、窗墙面积比、楼梯间隔墙、地面均同[例1]。屋顶传热系数K R =0.80,外墙传热系数K W =0.90,阳台门下部K B =1.7,户门K D .S =2.7。窗户所需传热系数的计算见表3-6-4。
窗户所需传热系数的计算 表3-6-4
续表3-6-4
计算结果表明:北京地区住宅建筑满足耗热量指标q H =20.6W/m 2 时,窗户所需传热系数为5.33W/(m 2 ·K)[可采用单层塑料窗K=4.70W/(m 2 ·K)],但建筑物体形系数应小于或等于0.30,外墙传热系数应小于或等于0.90W/(m 2 ·K)。
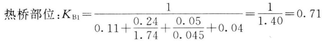
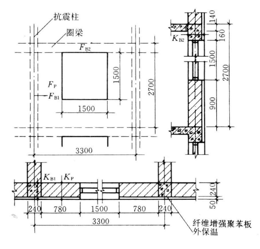
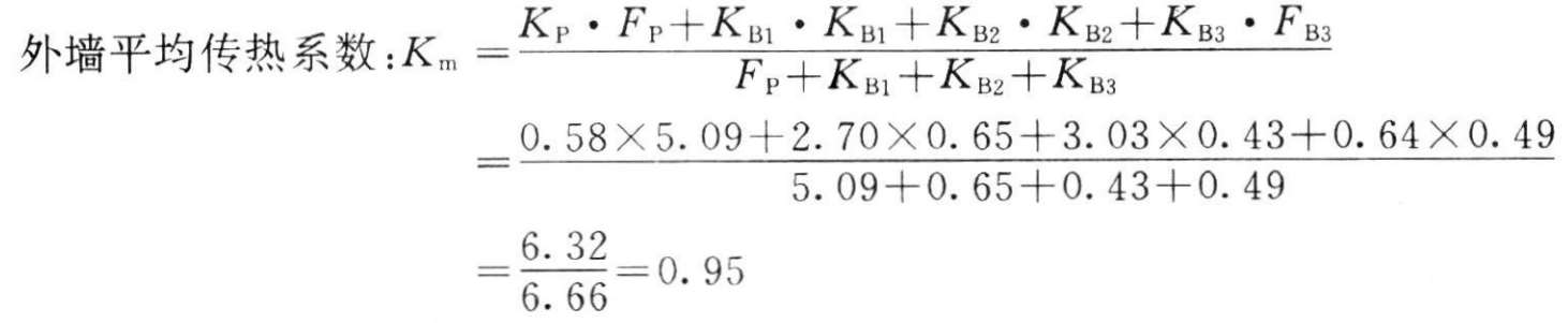
[例5]外墙为240厚砖墙,带钢筋混凝土圈梁和抗震柱。房间开间3.3m,层高2.7m。窗户1.5m×1.5m。采用饰面石膏聚苯板(δ=50)内保温。空气间层厚20。外墙构造见图3-6-1。所用材料的导热系数λ[W/(m·K)]:砖墙0.81,钢筋混凝土1.74,聚苯板0.045(按本章附录六附表6-1和附表6-2采用)。空气间层热阻R=0.16m 2 ·K/W。
图 3-6-1 内保温墙体构造
计算结果表明:这一内保温墙体的平均传热系数为0.95W/(m 2 ·K),要比主体部位的传热系数0.58W/(m 2 ·K)高出64%。由于热桥部位缺乏保温,故这种墙体的总体保温效果较差。
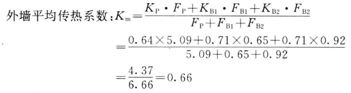
[例6]外墙基本构造同[例5],但采用纤维增强聚苯板(δ=50)外保温。外墙构造见图3-6-2。所用材料导热系数同[例5]。
图 3-6-2 外保温墙体构造
计算结果表明:这一外保温墙体的平均传热系数为0.66W/(m 2 ·K),比主体部位的传热系数0.64仅高出3%。由于热桥部位和主体部位均已保温,故这种墙体的总体保温效果较好。