



设计洪峰流量是指设计范围内某一选定频率下的洪峰流量。即:实测洪峰流量资料系列中,选定的某一洪峰流量发生的次数与实测系列总次数的比率(频率)时的洪峰流量。设计洪峰流量有设计洪峰流量和校核洪峰流量,淤地坝一般采用校核洪峰流量。推求设计洪峰流量是为了计算淤地坝溢洪道尺寸。淤地坝设计为坝体和卧管时可以不进行设计洪峰流量计算。
淤地坝规划阶段通常采用下列两种方法计算设计洪峰流量,并将计算结果互相校核,最终确定合理的设计洪峰流量。
按下列公式计算:
式中 Q m ——设计洪峰流量, m 3 /s;
h ——净雨深,mm。在全面汇流时,代表相应于 τ 时段的最大净雨;在部分汇流时,代表单一洪峰的净雨;
F ——流域面积,km 2 ;
τ ——流域汇流历时,h;
L ——沿主沟道从出口断面至分水岭的最长距离,km;
m ——汇流参数(表4-1);
J ——沿流程 L 的平均比降。
表4-1 不同下垫面条件的 m 值
注 表 4-1 可作为在无资料条件下确定 m 值的参考,表中 θ = L / J 1/3 , L 、 J 定义同上。
推理公式种类繁多,以上公式是一种通用公式。各地区可根据通用公式的因子,结合实际情况,选定适宜本地区的经验值,也可绘成暴雨洪水查算图表。
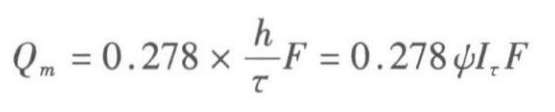
例如:内蒙古水文手册中规定在全面汇流时,推理公式采用下列公式计算:
式中 Q m ——洪峰流量, m 3 /s;
h —— τ 时间内最大净雨量,mm;
τ ——流域汇流历时,h;
ψ ——洪峰径流系数;
F ——集水面积,km 2 ;
I τ —— τ 时间内最大毛雨量平均强度,mm/h。
局部产流时,推理公式采用下列公式计算:
式中 F 0 ——相应于 t b 的面积形成洪峰的最大径流面积, km 2 ;
I tb —— t b 时段内最大平均降雨强度, mm/h;
其他符号含义同上。
采用推理公式计算设计洪峰流量时,必须确定暴雨强度 I tb ,洪峰径流系数 ψ ,流域汇流历时 τ 。
若坝址处沟道有历史大洪水调查资料时,可利用本沟道或借用邻近沟道的最大流量变差系数 C v 及偏差系数 C s ,进行设计洪峰流量的计算。
根据洪痕高程、过水断面、沟道比降,按下列公式计算:
式中 Q ——明渠均匀流公式计算的洪峰流量, m 3 /s;
ω ——沟道横断面过水面积,m 2 ;
C ——谢才系数;
R ——沟道横断面水力半径, m o 为过水断面面积与湿周的比值;
i ——水力比降,为上下断面洪痕点的高差与两断面间沿沟间距的比值;
n ——糙率,可根据沟道特征选用。
按下列公式计算:
式中 p ——调查洪水经验频率,%;
m ——在已调查的几次洪水系列中由大到小的顺序位;
n ——调查年代与洪水发生年代之差。
调查洪水的重现期与经验频率有以下关系
式中 N ——调查洪水重现期, a ;
p ——调查洪水经验频率,%。
有一个洪水调查值时,设计洪峰流量按下列公式计算:
式中
——最大流量系列的均值, m
3
/s;
——已知重现期的洪峰流量调查值, m
3
/s;
——相应于调查洪水频率
P
'的模比系数;
Q p ——频率为 P 的设计洪峰流量, m 3 /s;
K p ——频率为 P 的模比系数,由 C v 及 C s 的皮Ⅲ型曲线 K p 表中查得。
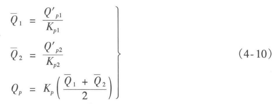
有两个洪水调查值时,设计洪峰流量按下列公式计算:
式中
——分别为两次调查洪水的平均设计洪峰流量, m
3
/s;
——已知重现期的洪水调查值, m
3
/s;
K p 1 、 K p 2 ——相应于调查洪水频率 P 1 和 P 2 的模比系数。
经验公式法计算设计洪峰流量可采用洪峰面积相关法或综合参数法。
按下列公式计算:
式中 Q p ——频率为 P 的设计洪峰流量, m 3 /s;
F ——流域面积,km 2 ;
C 、 n ——经验参数和指数,可采用当地经验值。
按下列公式计算:
式中 Q p ——频率为 P 的设计洪峰流量, m 3 /s;
C 1 ——洪峰地理参数;
H p ——频率为 P 的流域中心点24小时雨量, mm;
λ ——流域形状系数;
J ——主沟道平均比降,‰;
F ——流域面积,km 2 ;
L ——流域长度,m;
K p ——频率为 P 的模比系数。用 C v 及 C s 皮Ⅲ型曲线 K p 表查得;
——流域多年平均最大24小时降雨量,mm。由当地水文手册查得;
a 、 m 、 β 、 n ——经验参数,可采用当地经验值。
利用经验公式计算设计洪峰流量,需要应用小流域水文资料或与其他方法计算结果进行校验,选定合理的设计洪峰流量。