



对于大多数宏观呈电中性的等离子体来说,其热力学性质与中性气体相似,因此在热力学层面上的描述,可直接借鉴中性气体的热力学结果,例如可直接应用完全气体的物态方程和绝热压缩的能量方程等。
下面给出导电流体必须满足的流体力学方程组。
或
此处ρ为质量密度,对完全电离的氢等离子体,在假定满足电中性的条件下,有
式中n为数密度,
、
分别为电子、质子数密度;
、
分别为电子、质子质量。
=
+(
·
),
为欧拉描述中的随体导数,
为局部导数或就地导数,(
·
为位变导数或对流导数。由(2.2-1b)式可见,
代表单位体积内由密度场的不定常性引起的质量变化,
·(
)代表流出体积表面的流体质量。
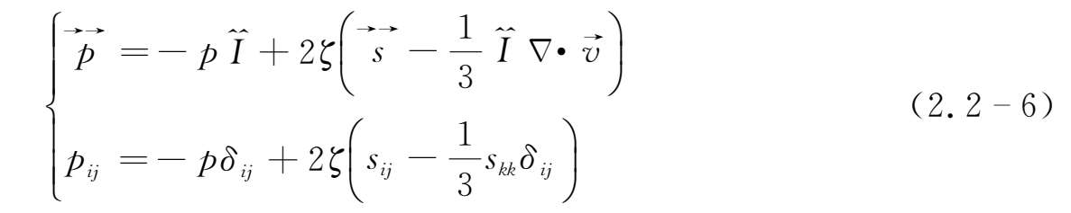
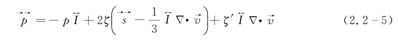
式中
为等离子体的压强张量,
×
是每单位体积的洛伦兹力,
为除压强梯度力和洛伦兹力以外的外力,
由本构方程决定。
式中ζ为动力学黏性系数,ζ'为第二黏性系数亦称为力膨胀黏性系数,当考虑导电流体近似认为处于平衡态时,可以忽略ζ',
为变形速度张量。
当ζ'=0,即满足斯托克斯假定后,应力张量
和变形速度张量的关系式为
则运动方程(2.2-4)式简化为
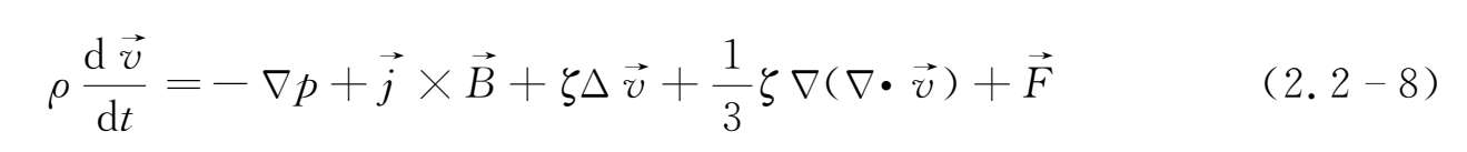
若又考虑黏性系数ζ不是空间的函数,即ζ为常数时,导电流体满足的运动方程(2.2-7)进一步简化为
(2.2-8)式即为压强梯度力、洛伦兹力、黏性力(假设黏性系数为常数)及其他外力的运动方程式。
若不考虑黏性,即ζ=0,则(2.2-8)式简化为
若流体不可压,且具有黏性ζ(ζ为常数),则(2.2-7)简化为
或将(2.2-6)式代入(2.2-4)式得
显然(2.2-10a)和(2.2-10b)两式等价。
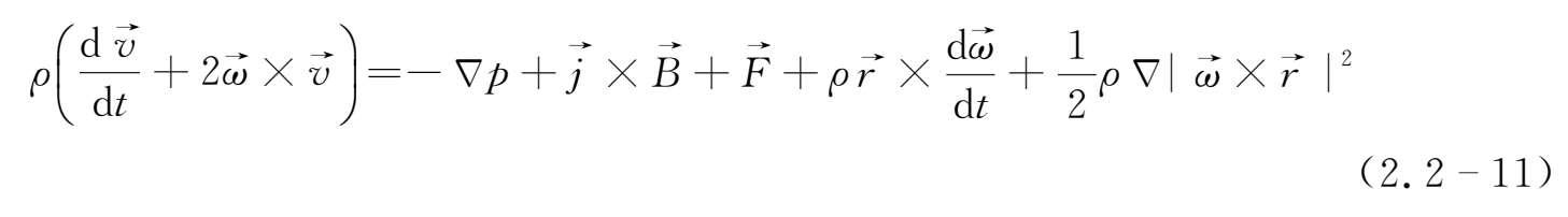
运动方程的具体形式显然还与参考系的选取有关。例如当参考系相对惯性参考系以瞬时角速度
旋转,这在考虑天体运动时是经常遇到的,为简单起见,忽略黏性力,并将重力并入其他外力中,则此时离旋转轴距离为
处的运动方程为
若假定|
×
+
|≪c,特别当
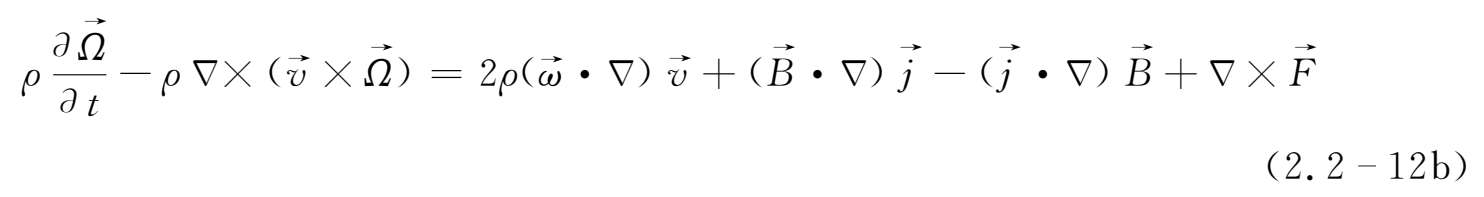
和ρ均为常数时,对(2.2-11)式取旋度,又
=
×
(
为涡度),可得
或
综上所述,导电流体中所满足的运动方程即是流体力学运动方程式等式右端加上洛伦兹力
×
项,即(2.2-4)式。(2.2-6)、(2.2-7)、(2.2-8)式为考虑不同黏性时相应的表式。显然(2.2-7)式即为纳维-斯托克斯方程的等式右端加上洛伦兹力项,(2.2-9)式为欧拉方程的等式右端加上洛伦兹力项,(2.2-10)式为考虑流体不可压且ζ为常数时所满足的运动方程。(2.2-12)式为考虑定常旋转、不考虑黏性的均匀流体所满足的运动方程。根据研究问题的具体情况,写出或采用其相应满足的运动方程,该运动方程式比流体力学方程式新引进了
、
,所以需要给出相应的方程组来描述它们的行为(见2.3节)。
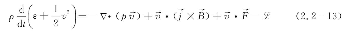
能量方程可表达为体积V内等离子体动能和内能的改变率等于单位时间内质量力和面积力所做的功加上单位时间内给予体积V的热量。它的微分形式可表达为
式中ε为内能,ε=
,
为能量损失函数,是能量损失率减去能量获得率的净效应,有
式中
为热流矢量,
为净的辐射损失,
为欧姆耗散,σ为电导率,H为其他所有加热源。热流矢量
=
·
,
为热传导张量,有
下标∥表示平行于磁力线方向,⊥为垂直于磁力线方向,由于沿磁力线方向的热传导远大于横越磁力线方向的热传导,故通常可忽略垂直于磁力线方向的热传导。辐射损失项
=
·
,
=-
T,
为辐射传导系数,κ
r
=16σ
s
T
3
/(3
),σ
s
为斯特藩-玻尔兹曼常数,
为质量吸收系数,
是吸收系数。其他加热源,可根据具体情况选取,例如恒星内部核能的产生率
、黏滞耗散率
(即流体力学中的耗散函数Φ,Φ=-
ζ
+2ζ
∶
,
为变形速度张量)或外层大气的波加热项
等。
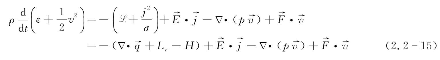
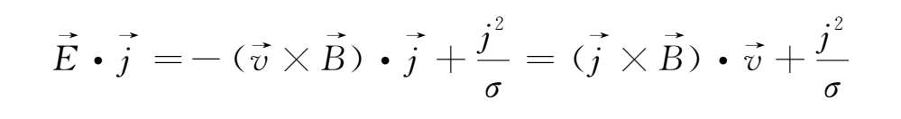
由欧姆定律
=σ(
+
×
),则
所以能量方程(2.2-13)又可写成
方程(2.2-15)式表明,等离子体内能量(包括内能和动能)的获得是热流、辐射、黏滞耗散、加热源、电能和压力及其他力所做的功的结果。
显然与(2.2-9)式相对应的机械能方程为
即体积V内流体动能的变化是由单位时间内压强梯度力、洛伦兹力
×
和其他外力
所做的功引起的。
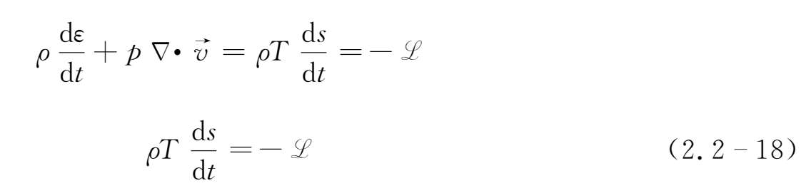
用能量方程(2.2-13)式减去机械能方程(2.2-16)式可得
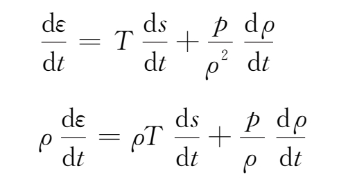
由热力学第一定律dε=Tds+
dρ(s为等离子体单位质量的熵),
代入连续性方程式得
则
(2.2-18)式通常称为加热方程。
将ε=
代入(2.2-17)式可得
或
即
如果等离子体为理想的多方气体,即内能ε=
T,
为定容比,又定压比
=
+
,比热比γ=
,则
其中γ=
,
为等离子体的自由度。例如对完全电离氢
=3,则γ=
,一般γ位于1~
之间。此时能量方程(2.2-19b)亦可写为下列形式
或
(2.2-20a)式中
T=
。当压强为常数时,(2.2-20a)式中第二项为零,此时(2.2-20a)式化为
当等离子体处于绝热状态时,与外界无热能交换时,此时
=0,由方程(2.2-18)或(2.2-20b)可得
众所周知,流体力学方程组是非线性的,导电流体满足的流体力学方程组中除流体力学组中涉及的未知量ρ、
、T、
外,引进了三个新的未知量
、
、
,它们必须满足电磁方程组。