



等离子体在宏观上是电中性的,所以满足电中性条件
这里n e 是电子(数)密度,n i 是离子(数)密度,z i 是离子电荷数。求和符号∑对所有离子种类进行求和。
在等离子体中,正负粒子所带的电荷在宏观上的分布总是呈现电中性的。如果在宏观上等离子体中的电荷出现了不均匀分布,例如,即使在稀薄的等离子体中,假设n约为10 17 /m 3 的情形,偏离电中性仅1%引起的场强就达
若取r~1cm,则这么大的场强造成的电子加速度约为10 16 m/s 2 ,所以不平衡通过电子传递很快就中和了。
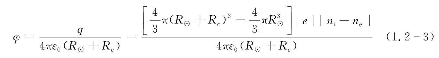
下面再举一例日冕中等离子体的电中性情况。由观测得到,在距太阳圆面R c =10 8 ~10 9 m(日冕区)处的电子密度为n e =10 14 /m 3 ,它的电势不超过3×10 10 V ,计算半径为R ☉ +R c (R ☉ 为太阳半径)的球体内的电荷在该球面上所引起的电势为
则
这是一个很小的相对值,所以日冕中的等离子体在宏观上呈现电中性。
除了粒子密度以外,另一个独立参量是温度。众所皆知,温度是平衡态的参量,但由于电子与离子质量相差悬殊,两者交换能量较困难。所以,在等离子体内部,首先是各种带电粒子成分各自达到热力学平衡状态,这时有电子温度T
e
和离子温度T
i
,只有当等离子体达到整体的热力学平衡状态以后,它才有统一的等离子体温度T。当存在磁场
时,连单一种类粒子(例如离子)都可能有两个温度,这是因为沿着
作用在一个粒子上的电磁力与垂直
作用在粒子上的电磁力是不同的。这样,垂直于
和平行于
的粒子具有不同的温度T
⊥
和T
∥
。
运动粒子每一个自由度的平均能量等于
T,所以温度T与能量密度相关。在等离子体中,温度可用能量单位表示。用对应于
的能量来表示温度,对于
=1 eV=1.6×10
-12
erg=1.6×10
-19
J,则
于是,转换因子是1 eV=11 600 K·k B 。
粒子密度n(n=2n e =2∑z i n i )和等离子体温度T,是等离子体处于平衡态的两个独立参量。其余参量都可以通过独立参量表示出来。
等离子体在宏观上总是呈现出电中性的。但由于带电粒子本身的热运动,在一个适当小的区域里,电子和离子的分布有可能是不均匀的。下面我们来讨论由于带电粒子本身热运动的能量,可能产生局部偏离电中性区域的大小,即德拜长度或德拜半径。
为简便起见,我们仅考虑电子成分,而把离子成分当作密度均匀而且不变的准中性背景看待。这种简化的“一元”等离子体叫作电子气体或洛伦兹气体。
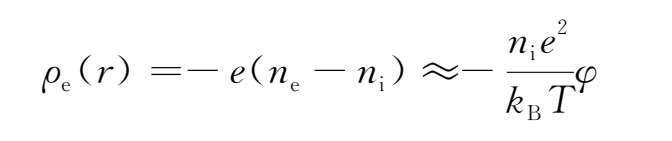
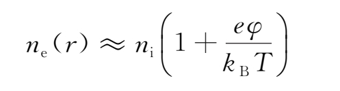
考虑一团电子气和密度为n的准中性正电荷背景,认定一个带正电荷q的离子,并令坐标原点与离子重合。首先计算所认定离子周围的电势分布。显然,这个电势
(r)是所认定离子产生的电势与周围过剩电子产生的电势的叠加,假定电子在场
(r)中处于温度为T的热力学平衡状态,其密度n
e
满足玻尔兹曼分布
在
≪1的区域,式中的指数可用泰勒展开(在接近离子的区域,由于
可能是大值,不可作简化,但这个区域对电子云的厚度影响不大,因为在此区域电势非常迅速地下降)。保留线性项,得到
于是,净负电荷密度为
又电势
(r)是满足泊松方程的,即
引入一个具有长度量纲的物理量——德拜长度λ D :
考虑到电势对所认定离子是球对称的,使用球坐标,将泊松方程(1.2-7)式改写为
上式的通解为
边界条件为
所以满足边界条件的解是
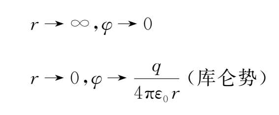
这里求出的势
(r)称为德拜势,它是等离子体中点电荷q的电势,它等于点电荷q的库仑势乘上衰减因子
,因此随距离r的增加而下降得比库仑势快得多(见图1.1)。
图1.1 德拜势与库仑势
这个结果说明,在等离子体中,一个带电粒子的静电作用被其周围过剩的异号电荷所屏蔽,基本上不超过以德拜长度为半径的球(德拜球)的范围。这个“球”内过剩的异号电荷与中心电荷基本抵消,使中心电荷的作用不能到达球外。所以德拜长度的物理意义有两方面:一方面,它是静电作用的屏蔽半径;另一方面,它又是热运动导致电荷分离的空间尺度。在德拜长度量级的范围内,正负电荷密度可以出现差别。由(1.2-8)式可知,当粒子密度增加时,德拜长度变短,而当温度升高时,长度变长。所以德拜长度反映了热运动(它使气体趋向非电中性)和粒子密度(它借助于静电力使气体趋向电中性)之间的某种协调作用。
由于德拜长度代表了电离气体中维持电中性的最小尺度,因此,我们不难理解“准中性”的意义,即如果我们所研究的电离气体的尺度比德拜长度大得多,则在处理问题时,我们完全可以把电离气体当作电中性来处理。反之,若研究的电离气体的尺度与德拜长度同数量级,则电中性就不存在,问题的处理就复杂得多。所以,等离子体的严格定义应该包含:当电离气体的尺度远大于它的德拜半径时,这种电离气体才能称作等离子体。
上面已经指出,等离子体维持宏观电中性的趋势非常强烈,而热运动通常总是存在的,它使等离子体具有偏离电中性的趋势。现在讨论如果等离子体内部小范围内(在德拜长度内)一旦出现某种电荷过剩将会发生怎样的情况。
考察厚度为d的无穷大等离子体平板(见图1.2),并设电子相对于离子移动了一小段距离ξ(ξ≪d)。在板的两个表面上形成了密度为±
的面电荷。这时,整个板内产生了场强为
的电场,它具有把电子拉回其平衡位置的趋势。设电子的质量为
,于是每个电子的运动方程(在没有外磁场时)为
图1.2 等离子体平板示意图
这是一个振荡方程,振荡的角频率是
其中n e (单位为m -3 )是电子密度,线频率为
(1.2-13)定义的ω pe 就是等离子体电子振荡频率。在导出这个频率时,热运动和碰撞可以略去不计。
同理可知,离子的振荡频率为
由于m
i
≫ m
e
,所以ω
pe
≫ω
pi
,故等离子体振荡频率
,
≈
=
。因此在一般情况下,常将电子的振荡频率看作等离子体固有的振荡频率。
等离子体振荡频率是描述电荷分离的时间尺度。亦即反映了等离子体在电中性破坏后恢复电中性的快慢程度。由于等离子体振荡的存在,使振荡频率小于ω p 的任何外加场不能透入等离子体中。这是因为更快的等离子体振荡中和了外加场,因而等离子体对频率ω <ω p 的电磁辐射是不透明的。所以等离子体振荡频率是电磁波在等离子体中传播的截止频率。
电导率是表征物质在外界电磁场存在时所呈现出来的物质导电性能的物理量,这个物理量表征了电磁场和等离子体的耦合。
当在电离气体中加一电场时,所有带电粒子都被加速,正负带电粒子反向运动。带电粒子和中性粒子间,以及正、负带电粒子间发生碰撞,将使平均速度很快达到定值。定义电流密度
为
此处e
k
、n
k
、u
k
分别表示第
种质点的电荷、数密度和规则运动的平均速度。
假设除了中性质点外,只考虑电子和一次电离原子,且假定电场不太强(宇宙中大多数情况如此)。在选定与离子相联系的坐标中,电子以近于
的平均速度运动,则有
如果在一秒钟内电子与离子或中性粒子的碰撞次数等于
,此处
为自由运动时间,在每一次碰撞中,电子损失动量
,对于稳定电流有
将(1.2-18)式代入(1.2-17)式可得
(1.2-19)式即欧姆定律
σ称为电导率。(1.2-20)式中除了原子常数外,只包含两个变数即电子的数密度和电子碰撞时间τ ei ,前者是一个确定量,下面主要对电子的碰撞时间进行讨论。
分为两种情况进行讨论:弱电离等离子体,其中以带电粒子与中性粒子的碰撞为主;完全电离等离子体,其中带电粒子之间的碰撞起主要作用。
(1)弱电离等离子体
对于弱电离等离子体,力是短程力,所以只有在粒子间距离与粒子大小差不多时作用力才很大,其余大部分时间都在自由飞行,故可用“自由程方法”且只需考虑二体碰撞。
设n
n
为中性分子的数密度,Σ
n
是电子和中性分子碰撞截面,则电子的平均自由程
为
电子的自由碰撞时间τ ei 为
v e 为电子的平均热运动速度
将(1.2-21)、(1.2-22)、(1.2-23)式代入(1.2-20)式可得弱电离等离子体情况下的电导率为
实际上,大部分电子的速度大于或小于(1.2-23)式所给出的速度,而Σ
n
和
均依赖于v
e
,于是对于不同的电子,
是不同的。所以,在精确计算中,必须考虑到电子速度v
e
的分布及碰撞时间τ
ei
的分布。
(2)完全电离等离子体
在完全电离等离子体中,碰撞主要发生在带电粒子之间。由于库仑力是长程力,这里主要将不是二体而是多体碰撞。研究表明,在等离子体中大角度偏转主要由多次远碰撞积累而成,并已求出了一个试探粒子为了积累出90°偏转角需要在等离子体内走过的“有效自由程”和碰撞的“有效截面”。如果把τ ei 改成计及远碰撞的“有效碰撞时间”,公式(1.2-20)式仍适用。斯皮策(Spitzer,1962)给出了完全电离等离子体中的电导率公式:
其中γ是
和1之间的因子,其大小取决于离子电荷。因子lnΛ为库仑对数,Λ=
,
为德拜半径,
为偏转
时的瞄准距离。在宇宙等离子体中lnΛ大多在5~20之间,它与温度和密度有弱相关性,如表1.1所示。这里,Z是离子电荷数,下面给出有关氢的结果,有时称作斯皮策电导率。取Z等于1,由于对质子质量M的依赖是弱的,故其他气体也能用这些值,有
相应的磁扩散率(详见2.4节)为
上式中μ为磁导率。由式(1.2-26)式可见,电导率σ随温度的上升迅速地上升。处于热核温度(几万电子伏)的等离子体基本上是无碰撞的。加热等离子体的一种简便途径是使用电流通过等离子体,于是
就可转化为电子温度的增加,这称为欧姆加热。然而,电阻率η=
,正比于
的依赖关系不允许用欧姆加热使之加热到高温(例如热核温度)。在温度高于1 keV时,等离子体已变成良导体,以至在此范围,欧姆加热是一个非常缓慢的过程。由方程(1.2-26)式,我们又看到,电导率σ与密度几乎无关(除了库仑对数lnΛ对密度的弱依赖性外)。这是一个相当意外的结果,它意味着当电场
加到等离子体时,由(1.2-19)式给出的电流
与载流子的数目无关。其原因是,虽然
随
增加,但对离子的摩擦阻力也随n
i
增加。由于n
i
≈n
e
,这两种影响相互抵消。
表1.1 库仑对数lnΛ随密度n(m -3 )和温度T(K)的变化
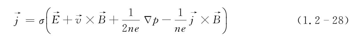
以上结果均在无磁场时成立,当等离子体中存在磁场时,情况将复杂得多,此时电导率σ不再是各向同性,而是以张量形式出现,即
=
·
。简单地说,这时等离子体中的电流
的变化由电磁力、阻尼力以及电子气体的压强梯度力所决定。在通常宏观电流变化率很小的情况下,电流
可表示为
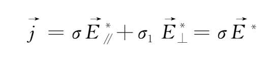
(1.2-28)式称为广义欧姆定律(关于广义欧姆定律的推导见2.3节)。
若令等效电场
为
则上式可化为
其中
为平行于磁场方向的等效电场,
为垂直于磁场方向的等效电场,而
=
=
,Ω为带电粒子在磁场中的回旋频率(关于带电粒子在磁场中的运动详见1.3),Ω=
,
为两次碰撞之间的自由运动时间。
是电导率各向异性的参数,它表示了电子在两次碰撞之间在磁场中回旋的角度。σ
1
通常叫作横向电导率,σ
2
叫作霍尔电导率。
亦即存在磁场时,电导率为张量:
=
·
。当
=0时,Ω=0,所以
=σ,
=0,于是
即
=
,还原为常见的欧姆定律。
所以当有磁场存在时,由于带电粒子在磁场里做回旋运动,破坏了电导率的各向同性。
由于与
平行,在该方向的电流与没有磁场的情况一样(即当
=0时,
=
;当
时,
=
)。垂直于磁场方向的电场分量
,一方面引起该方向的“直流”,通常叫作横向电流,同时产生垂直于
和
的霍尔电流。所以当电磁场同时存在时,情况复杂得多。
显然,当Ωτ ei ≪1时,电导率仍可看作近似各向同性,这时有
当Ωτ ei ≫1时,在垂直于磁场方向主要为霍尔电流,此时磁场作用显著,不能忽略。