



众所周知,宇宙中绝大部分的物质处于等离子体状态,等离子体是由处在非束缚态的带电粒子组成的多粒子体系,它和气体、液体、固体一起构成了自然界物质的四大基本形态。物质由于温度不同,从而导致构成物质的微观粒子之间的结合和凝聚程度亦不同,以致呈现不同的物态。在固态中,粒子间的结合最紧密,在液态中次之,在气态中则最松散。当物质达到气态以后,如果继续从外界得到能量,粒子又可以进一步分裂为电子和离子,这就是电离。
实际上,在绝对温度不等于零的任何气体中,总有若干粒子是电离的,但数量太少,不会使气体性质发生质的改变。但由于某种自然(如高温天体)或人为的原因,使带电粒子浓度超过一定数量(通常约需大于千分之一)以后,气体的行为在许多方面虽然仍与寻常流体相似,但这时中性粒子的作用退居次要地位,整个系统将受带电粒子的运动所支配,对外界电磁场敏感,且表现出一系列新的性质。像这样部分或完全电离的气体,它们由带电粒子和中性粒子组成,且表现出集体行为的一种准中性气体叫作等离子体。关于“准中性”的意义将在1.2节中阐述。所谓“集体行为”所包含的意义如下。
考虑作用在一个分子上的力,由于分子是中性的,在分子上不存在净电磁力,而重力是可以忽略的。在这个分子与另一个分子碰撞前,它不受扰动地运动,这时碰撞支配了粒子的运动。在由带电粒子组成的等离子体中,情况就完全不同,当带电粒子运动时,它们能引起正负电荷的局部集中,从而产生电场。而电荷的运动也引起电流,以致产生磁场。这些场影响了远处其他带电粒子的运动,由于库仑力的长程性,带电粒子之间的相互作用力为长程力。所谓长程力,意思是力随距离的增大,下降较缓慢,即在较远距离还有相互作用力。例如在某一带电区域中,任意两个距离为r的带电粒子之间的相互作用力随着距离r增加按与距离r的平方成反比的规律减少,而区域内平均粒子数的增长率正比于r 3 ,所以对于区域内任一带电粒子来说,区域内的粒子数的增长率远大于其所受作用力的减少率。因此,任一给定粒子受到大量的、远处的连续相互作用力,这一影响要比受附近粒子较小的相互作用力的影响大得多。所以“集体行为”指的是不仅取决于局部条件而且还取决于远距离区域等离子体状态的运动。它是由库仑长程力所支配的等离子体的基本属性。
只要离开地球大气,就会遇到构成范艾伦辐射带和太阳风的等离子体,之后就遨游在等离子体的王国之中。这是因为无论是恒星内部及大气层,还是气态星云、星际星云等,均具备了电离条件。甚至在等离子体的概念尚未提出之前,天体物理学家就研究过等离子体〔1929年朗缪尔(Langmuir)在描述气体放电管里物质的性质时提出了“等离子体”这一名词〕。1921年米尔恩(Milne)根据气体电离度与温度关系的分析(萨哈公式)建立了恒星大气理论。从萨哈公式可知,处于热动平衡气体的电离量为
这里的n
i
和n
n
分别为已知电离原子和中性原子的数密度,T是气体温度(K),
是玻尔兹曼常数,U
i
是气体的电离能。对于室温下的普通空气,我们取n
n
≈ 3×10
19
cm
-3
,T ≈300 K,
=14.5 eV(对氮气),其中1 eV=1.6×
erg。从(1.1-1)式可预期的电离度
≈
为
当气体温度升高时,在
达到U
i
的几分之一以前,它一直保持低电离度。若温度再升高,
急剧增加,当电离度大于千分之一时,我们就将这种电离气体称为等离子体。这就是在达百万开尔文的高温天体中存在等离子体而在地球上却不存在等离子体的缘由。
对于低温稀薄的星际气体、星际星云,由于恒星灼热的辐射,星际气体区域和星际星云中的原子吸收光子而产生光致电离
光致电离是稀薄等离子体中的主要电离过程。
综上所述,宇宙物质几乎都是等离子体。同时,观测表明,宇宙中普遍存在影响空间中带电粒子运动的磁场。通常带电粒子受电磁力的作用远远超过引力的作用,下面举例说明。设粒子在地球离太阳的距离R处,以地球的轨道速度
运动,如果粒子是中性氢原子,则它只受太阳引力的作用(可以略去磁场对可能产生的原子磁矩的影响)。若M为太阳质量,m是原子质量,G是引力常数,则引力为
如果原子是一次电离的,行星际磁场在地球轨道附近的场强是
,则在磁场作用下,离子和电子所受的力为
设行星际磁场强度的数量级为10 -8 T,则
这说明,只要物质是电离的,行星际磁场和恒星际磁场远比引力场重要。
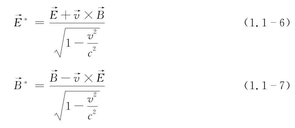
宇宙中,除一些特殊区域外,静电场通常是不重要的,电场一般由磁场决定。有磁场时,只有相对于一定的坐标系,电场才是确定的。设在“静止”坐标系中电场和磁场是
和
,另一坐标系以速度
相对于原坐标系运动,可用相对论转换公式来计算运动坐标系中的场
和
。场的平行于
的分量保持不变,而垂直于
的分量按下列形式变换:
由于宇宙中静电场通常很小,且大部分情况下的速度远小于光速,故在宇宙物理学中,下列两式是很好的近似:
其中,场的平行于
的分量也包括在矢量内。
于是,磁场与坐标系的选择无关,电场却与测量它的坐标系相关。