



所谓Grad-Shafranov方程(G-S方程)是当考虑压强梯度力和磁力平衡且磁场存在对称性时,标量函数ψ所满足的微分方程,亦即磁场存在对称性时的磁静平衡方程。
先导出直角坐标系(x,y,z)中的G-S方程。若
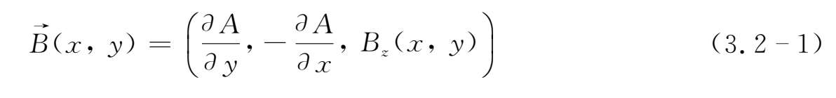
=0,由磁场无源条件,可选取标量函数A(x,y),则
=
=
,
=-
=-
,即可得磁场
的表达式为
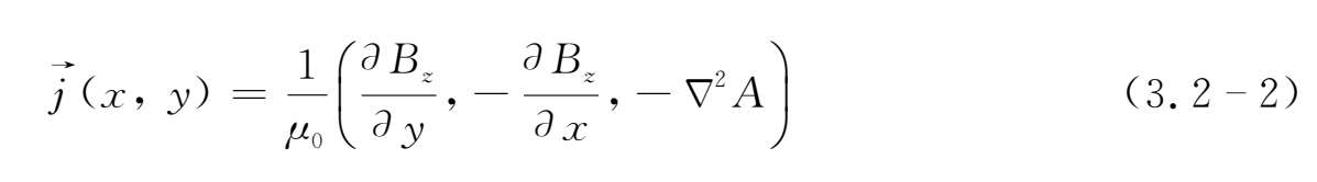
由安培定律可得
将
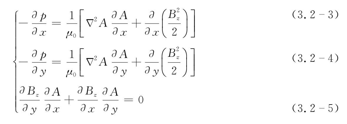
和
代入平衡方程(3.1-3)式,即
=
,可得
由(3.2-5)式可得
将(3.2-6)式代入(3.2-3)和(3.2-4)式,可得
即上述平衡方程为
该式即为直角坐标系中的G-S方程。
下面导出对于环形(toroidal)结构,即对于像torus或tokamak类这类轴对称系统,有
=0,
=
,
=
+
时的G-S方程。
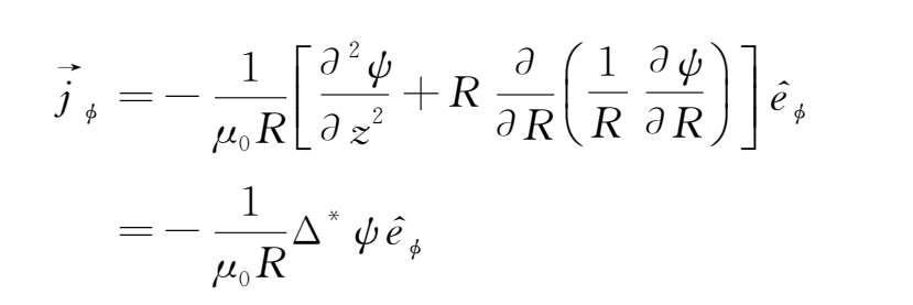
因
=0,由磁场无源条件,得
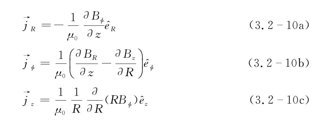
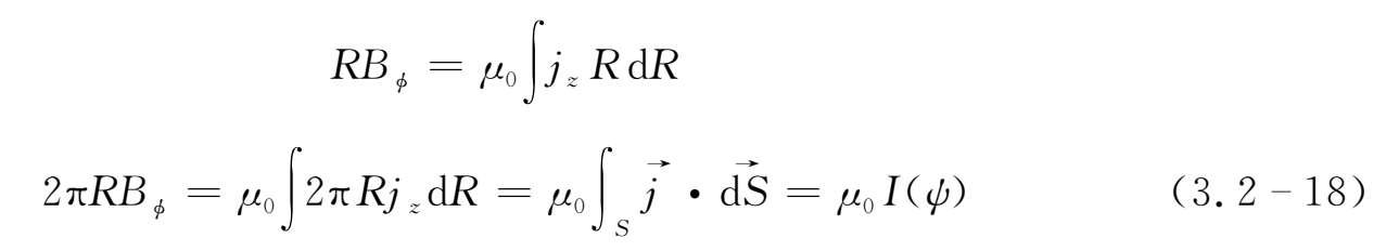
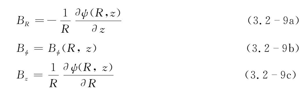
式中ψ为通量函数,ψ=ψ(R,z)。代入安培定律
=
×
,可得
将B
R
和B
z
代入
可得
即
式中
将(3.2-9)和(3.2-10)式代入平衡方程
=
×
,得
由(3.2-13b)式得
将(3.2-14)式代入(3.2-13a)和(3.2-13c)式可得
将(3.2-15)、(3.2-9c)和(3.2-10c)式代入(3.2-13a)式可得
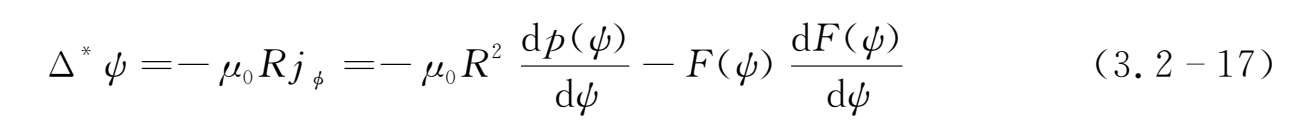
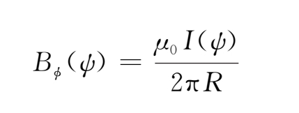
式中F=RB ϕ 。将j ϕ 代入(3.2-11)式即可得环形结构下ψ所满足的二维Grad-Shafranov方程
其中F(ψ)=RB ϕ (ψ)。由(3.2-10c)式积分后可得
则
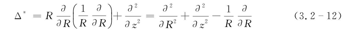
(3.2-17)式中
的定义见(3.2-12)式。如果给定了p(ψ)、B
ϕ
(ψ)或者I(ψ)(3.2-18)式的具体函数形式,加上合适的边界条件,就可以从Grad-Shafranov方程求解出ψ=ψ(R,z),而ψ(R,z)=常数的空间曲面就是相互叠套的环形磁面。关于球坐标系下二维无力场的Grad-Shafranov方程可见下节(3.3-39)式。