



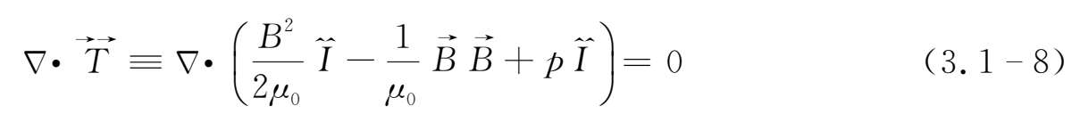
通常磁流体力学问题的数学处理是十分困难的,只有在极少数特殊情况下,才能得到磁流体力学方程的分析解,一般都是对简化了的问题求数值解。不管求分析解还是数值解,首先必须正确给出平衡状态的磁场位形。本章尝试探讨磁流体静力学问题,一方面,它是磁流体动力学的基础,是最简单的动力学问题,通过对它的研究可以解决动力学问题的初态问题,同时可以探究磁流体动力学问题的某些基本特性;另一方面,磁流体静力学问题研究本身就对宇宙客体的研究有着很大的实用意义。对于一些过程随时间缓慢变化、导电流体速度相对小的磁流体力学问题,有时也可将它们近似当作磁流体静力学问题处理。
为简单起见,先考虑平衡方程中只有电磁力和压强梯度之间的平衡情况,此时磁静平衡应满足的平衡方程组为
考虑到
×
=-
+
(
)
,(3.1-1)式可写成
根据矢量公式
=0,由(3.1-4)式可得
因此可由(3.1-5)和(3.1-3)式解得磁场的静态平衡位形。然后再将它代入(3.1-2)和(3.1-4)式中,分别得到平衡状态下导电流体中的电流分布和压强分布。显然,满足(3.1-5)和(3.1-3)式的解不是唯一的,它们给出了导电流体可能在磁场中保持平衡的各种位形。
现在先研究平衡位形的一些基本性质。分别以
和
对(3.1-1)式求标量积,可得
(3.1-6)和(3.1-7)式表明
、
均垂直于p的梯度方向,亦即不论
还是
均位于等离子体动压强的等压面上(p为常数的曲面上)。如果等压面是封闭的,则磁力线及电流线缠绕在该封闭曲面上,决不可能有磁力线和电流线穿越等压面的情况发生(如图3.1所示)。通常电流线可以以任意角度与磁力线相交。
图3.1 平衡位形中
、
和p的分布
由等压面上的磁力线组成的曲面叫作磁面。因为
在磁面上,故磁面也就是磁通ϕ等于常数的面。由(3.1-6)式可知
∥
p=0
这就是说沿着磁力线压强为常数,但因为磁力线可以延伸到磁面上任一点,故整个磁面上各点的压强都一样,即
=0,磁面也就是平衡位形的等压面,故p=p(ϕ)。由(3.1-7)式可知
也完全在磁面上。当
∥
时,显然
一定在磁面上;若
⊥
,则可以把
分为两部分:
其中
是在磁面上而与磁场垂直的电流分量,而
是既垂直于磁场又垂直于磁面的分量。由(3.1-7)式,有
由于
=0,等式中后一项中一般
≠0,故
≡0。这表示电流
只有在磁面上的分量,所以它也是磁面的函数,即
=
(ϕ)。
由(2.5-4)和(3.1-1)式可以得到平衡方程的又一种形式:
在由
=
及
、
构成的直角坐标系中,
=
+
+
,故(3.1-8)式可以进一步表示成
+
+
=0
其中p
∥
=p
,
=p+
,p
∥
、p⊥分别为平行和垂直磁力线方向的总压强。因为
=0,又
=0,故可得平衡方程为
上式的物理意义是,磁流体处于平衡态时,其中的热压力和磁压力相互抵消。由于在一个有限体积的磁流体中,中心压强总高于边缘压强,即
<0,因此为了保持磁流体的平衡,要求
>0,这种平衡位形称为“磁阱”。
众所周知,磁场的描述是用磁力线来表示的。磁力线的方向就是磁场的方向,磁力线的疏密即为磁场的强弱。磁力线方程为
在直角坐标系(x,y,z)中为
在柱坐标系(r,θ,z)中为
在球坐标系(r,θ,
)中为
现在来看磁力线方程的通解:
以直角坐标系为例,从直角坐标系中的磁力线方程可以得出两个独立的微分方程:
其对应的通解为两组空间曲面:
α(x,y,z)=c α ,β(x,y,z)=c β
上述c α 、c β 分别为两组常数,每取定一个具体值就对应一个空间曲面。改变它们的取值就得到不同的两组空间曲面,而两组曲面的交线即磁力线。不同取值的两组空间曲面的交线为不同的磁力线。所以磁力线的标量场表示为
式中
、
分别为两组空间曲面的法线方向。也可以说,矢量场
可以用两个标量场a(x,y,z)、β(x,y,z)来表示,显然该矢量场
满足
=0,故由
=
×
定义的磁场是合理的。
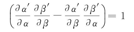
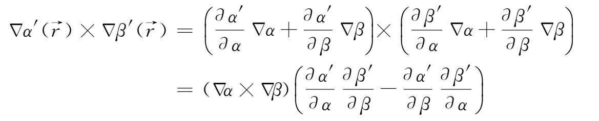
但对于一个确定的磁场
,表示它的标量场(α,β)并不唯一。下面来讨论表示同一磁场
的两组标量场(α,β)和(α',β')之间的关系。
若
由上式可知,原则上可以用(α,β)作自变量来表示(α',β'),反之亦然,即
α'=α'(α,β),β'=β'(α,β)
于是
推导中注意到
×
=
×
=0,所以当条件满足
亦即当它们之间的变换雅可比矩阵为1时,或者说相应的变换为等面积变换时,
所以描述磁场
的标量场并不唯一得以证明。
通常亦可借助于Euler势(或Clebsch势)(f,g)来描述磁场
:
=
×
f和g满足
=
=0。f和g沿着磁力线为常数,所以一组(f,g)值标明了一根磁力线,而f=c和g=c的表面表示磁通量的表面,其交线即磁力线。
满足
=0的磁场亦可用下式表示:
为磁矢势函数,显然磁矢势函数亦不是唯一的。
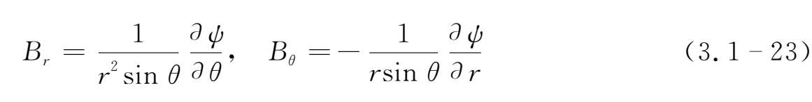
假设在某种坐标系(α,β,γ)中,若有
=0,此时可将三维问题简化为二维问题,并只需用一个标量场就可以描述磁场,使问题的研究大为简化。
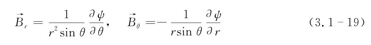
因为磁场必须满足无源条件,则
若取一标量函数ψ,使B
α
=
,B
β
=-
,即可满足
·
=0。
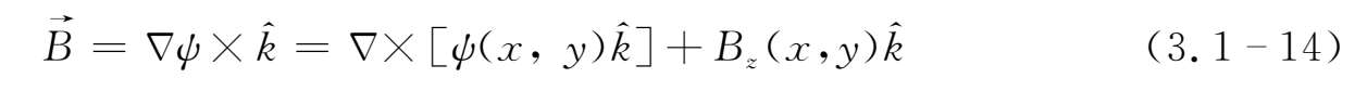
在直角坐标系(x,y,z)中,若
=0,则ψ=ψ(x,y),故
=
=
,
=-
=-
,即
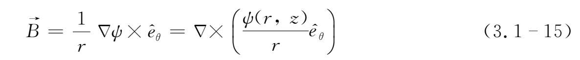
在柱坐标系(r,θ,z)中,若存在轴对称,
=0,即可取磁通函数ψ=ψ(r,z),
=
=-
=-
=
,即
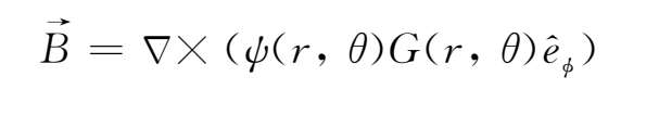
在三维球坐标系(r,θ,ϕ)中,当
=0时,亦可将磁场分为环向(toroidal)和极向(poloidal)场,即
若令
=
×(
),
=
=
×
×(
),则
为环向(toroidal)场,
为极向(poloidal)场,ψ为标量函数,显然
和
都满足无源条件。推广到柱坐标系中柱对称的情况,此时可将(3.1-17)式改写为
式中
为某一确定的单位矢量,
可取
或者
。
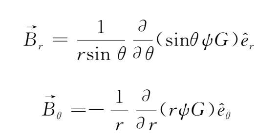
在球坐标系(r,θ,ϕ)中,若
=0,因磁矢势函数不唯一,亦可令
则
若令G=
,则
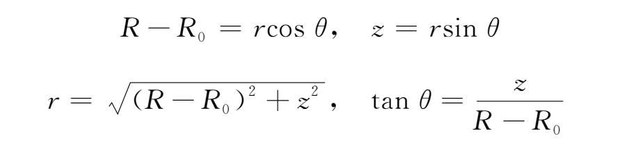
圆环形等离子体的几何位形如图3.2(a)所示,通常采用两套坐标系来描述——(R,ϕ,z)和(r,θ,ϕ),两者之间的变换关系为
(a)二维环形磁场示意图
(b)无限长载流导线所产生的磁场
(c)载流环形螺管产生的磁场
(d)环形电流圈所产生的磁场
图3.2 圆环形等离子体磁流管的磁场示意图
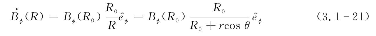
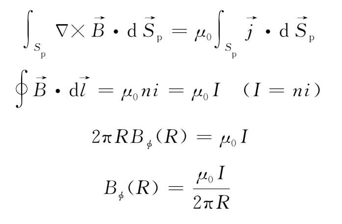
考虑在圆环中若存在一个外加的环向磁场,该环向磁场可以由z向电流
=
产生,由安培定律
则该环向磁场的大小随
衰减〔见图3.2(b)〕。该环向磁场亦可由环形电流圈产生〔见图3.2(c)〕。
设有n个在环向(等间角)均匀排列的电流圈,它们的中心位置位于大半径为R 0 的大环上,每个电流圈的小半径为a。这些电流圈在空间形成了沿大环方向的环向磁场。当电流圈数n足够大时,可以证明环向磁场的强度随大半径(空间某点离对称轴的距离)R单调下降。
设每个电流圈中流过的电流密度和电流分别为
和
,由安培定律
上式中S p 是过空间任意点(R,z)、半径为R、垂直于对称轴z的圆面(其面元法向在z轴)。利用
2πR 0 B ϕ (R 0 )=μ 0 I
可得
由上可见,不管环形电流圈还是无限长载流导线都可产生一个磁场,其方向均为环向,大小反比于大半径。
除考虑环形等离子体中有一环向磁场外,同时考虑圆环等离子体中还有环向电流,则圆环电流会产生极向磁场〔见图3.1-2(d)〕。由于问题的对称性,
=0,故该极向场可以引入磁通函数ψ来表示:
对(R,ϕ,z)坐标系,
对(r,θ,ϕ)坐标系,
因此环形电流管中产生的总的磁场为
该磁场在实验室中一般称为托卡马克(tokamak)磁场,在天体物理中叫作环形磁流管(torus)磁场。
3.2节将介绍考虑平衡方程(3.1-1)式时,若磁场存在对称性,标量函数ψ满足的方程即二维Grad-Shafranov方程。如果在局部强磁场区域中磁力远大于非磁力,此时磁静平衡场要求磁力为零,磁力为零的磁场称为无作用力磁场。关于无作用力场将在3.3节介绍。磁流体平衡中另一类重要的特性——箍缩效应,将在3.4节中专门介绍。在宇宙等离子体某些问题中,当必须考虑引力(重力)作用时,此时平衡方程将取如下形式:
这类平衡问题将在3.5节讨论。