



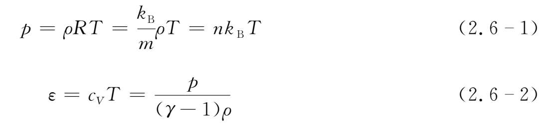
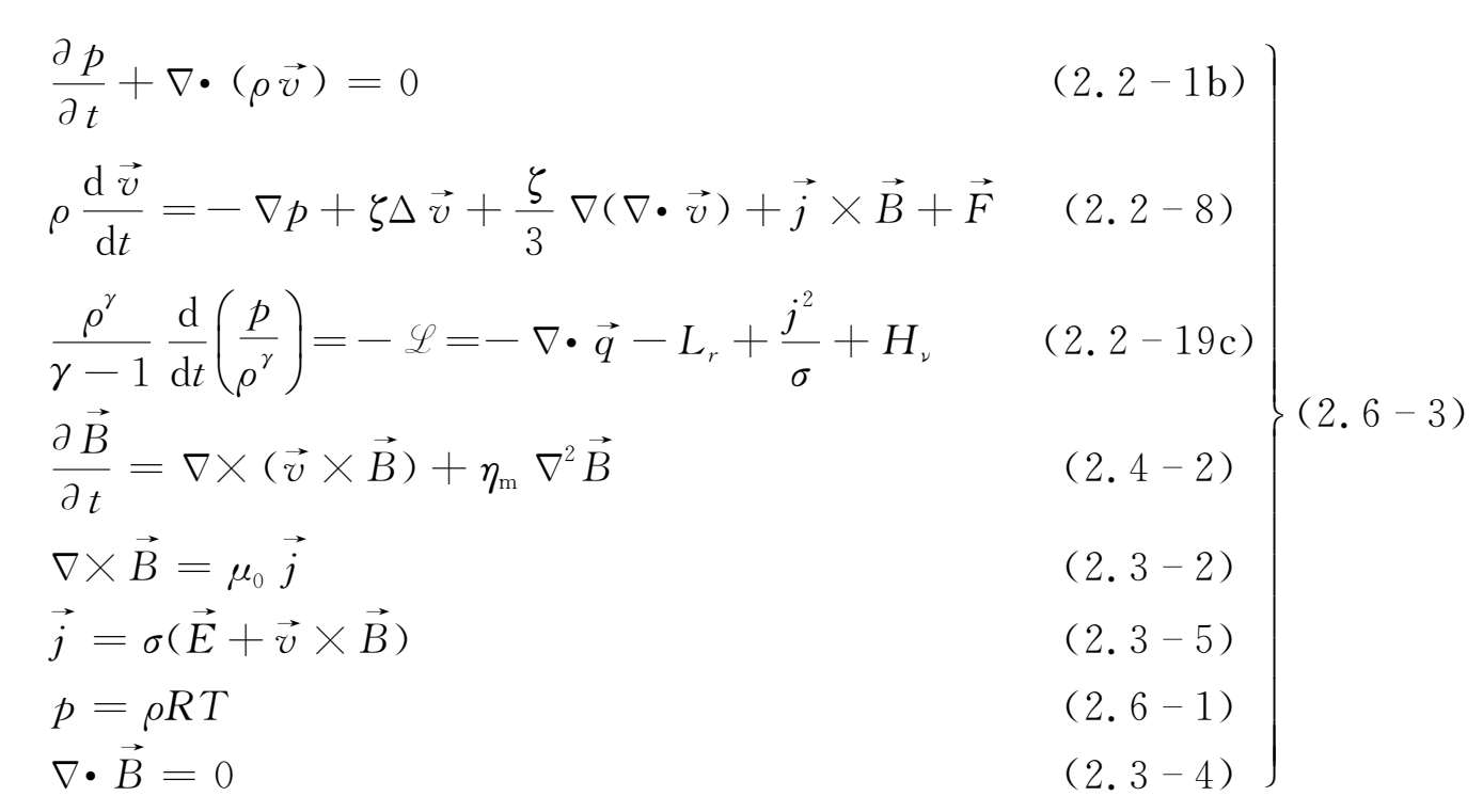
磁流体力学方程组必须同时满足流体力学方程组和电磁场方程及考虑流场与磁场的耦合。但不难看出该联立方程组还是不封闭的。为了使磁流体力学方程组完备,还必须联立描述热力学状态参数之间关系的状态方程。如前所说,通常我们把宇宙等离子体当作完全气体,这时有如下关系式
式中
为玻尔兹曼常数,R=
,
为气体常数,
为气体的克分子量,
为定容比热,γ是绝热指数。
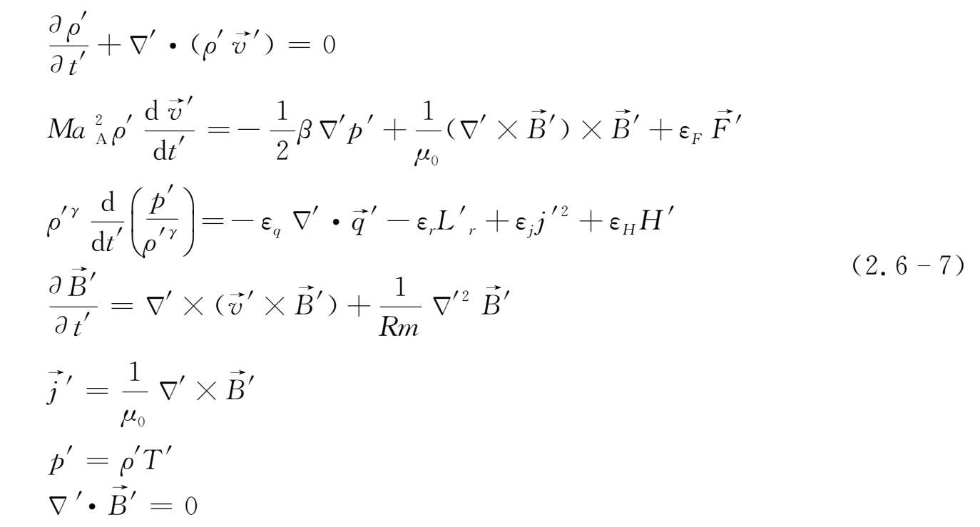
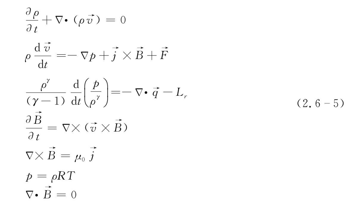
若磁流体中必须考虑电阻和黏性(当流体具有可观的流速或流场剪切时)两种非理想效应时。为简单起见,通常假设所有黏性系数和扩散系数均为常数。此时所满足的非理想磁流体力学方程组为
(2.6-3)式中,外力
需已知,又假定所有黏性系数和扩散系数为常数且已知,则
=-κ
T,L
r
=
,
=-
,
为剪切黏性的耗损加热,
=-
ζ
+2 ζ
=ζ
,
为变形速度张量,
=
。上述联立方程组中欲求的未知量为
、ρ、p、T等15个未知标量函数,(2.6-3)式中15个标量方程,决定15个未知量,求出的磁场强度
应满足
=0即(2.3-4)式,所以方程组是完备的。
通常在大部分情况下可将宇宙等离子体当作无黏滞导电流体,此时可得到仅考虑电阻的磁流体力学方程组:
(2.6-4)式求解思路同(2.6-3)式。
当磁感应方程式中η m 是空间函数时,(2.4-1)式化为
上式右端第一项为冻结项,第二项为扩散项,电阻扩散所起的作用是解稳作用,从而会产生新的不稳定扰动——撕裂模(在磁力线方向具有有限空间结构——磁岛)或磁重联(在磁力线方向无限延伸)。第三项中的电阻梯度
在磁流体中起着使磁力线对流的作用(类似于流体中造成流体对流的重力),电阻梯度的存在会引起电流的对流不稳定性——波纹模。有关有限电阻的不稳定性详见第七章磁重联。
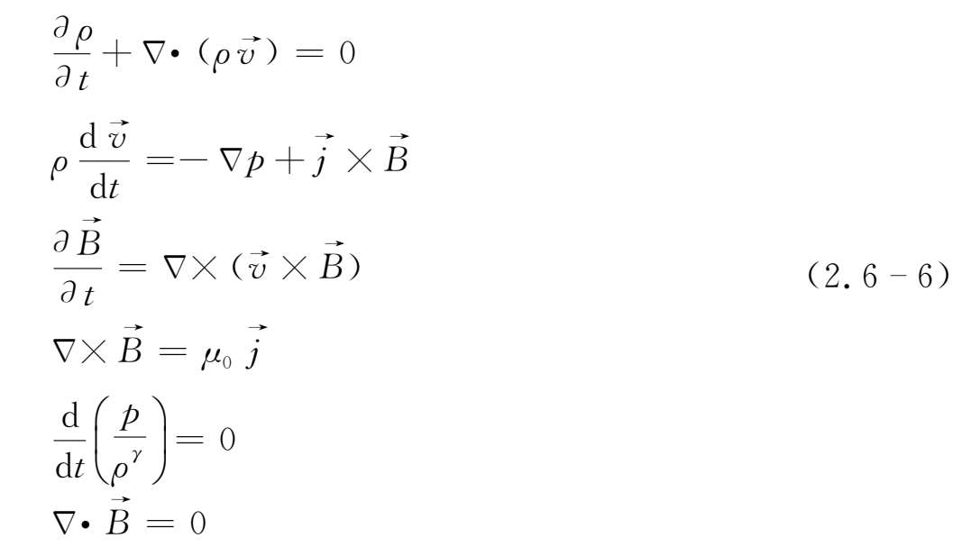
对于完全导电的理想导电流体σ→∞,η m →0,ζ→0,H ν →0,上述方程组(2.6-3)或(2.6-4)式简化为理想导电流体的磁流体力学方程组:
显然理想导电流体的磁流体力学基本方程组比非理想磁流体力学方程组简便得多,此时有
、
、
、p、ρ、T等12个未知量,有12个标量方程,方程组是封闭的。
在理想导电流体又不考虑辐射损失和其他加热的绝热情况下,此时能量方程简化为绝热方程,则理想磁流体力学方程组简化为
在绝热条件下,理想磁流体力学方程组简化为具有
、
、
、p、ρ等11个未知量,11个标量方程。
所以根据问题所给出的物理条件,选取恰当的磁流体力学方程组,再根据合适和足够的初始、边界条件,对物理问题或天体物理问题求出完整的物理解或数值解。
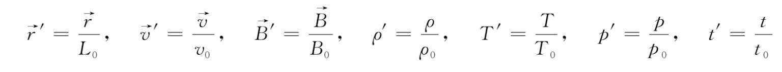
在流体力学中,人们习惯引用特征的无量纲参数来区分流动的不同特征区域和过程。在磁流体中,流体是导电的,而且还有磁场的作用,必然会引进新的无量纲参数来描述导电流体和磁场的特征过程。无论对磁流体力学方程组求物理分析解或数值解,引入无量纲参量都是非常有用的。引入以下无量纲量:
上式中
分别为等离子体速度、磁场、密度、温度和压强的典型特征值,
、
为物理量变化的特征长度和时标,则
=
,
=
。带撇的量为相应的无量纲量。
为方便起见,假定所有的输运系数为常数,此时(2.6-4)方程组无量纲化后为
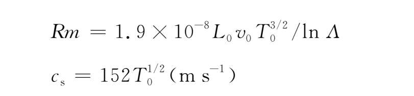
上述方程组中带撇的无量纲变量大小为1的量级,在无量纲方程组中出现的无量纲参数为磁雷诺数Rm=
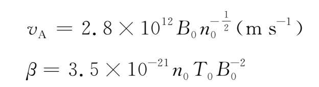
,阿尔文马赫数
=
,等离子体β数,β=
为除压强梯度力和磁力外的其他外力与惯性项的比例系数,
=
,
为外力
的特征量。
、
、
、
分别为热传导、辐射、焦耳热和其他加热项对绝热变量的比例系数,其中
=
。
无量纲参量Rm与电导率有关,它描述了磁感应方程中对流效应与电阻扩散效应的相对重要性。在磁流体力学中阿尔文速度
是一个基本的特征速度。与流体力学的马赫数Ma=
类似(
为声速),用
去除流体速度,得到所谓的磁马赫数或阿尔文马赫数
=
=
,
=
(详见4.1节)。
在磁流体力学中是很重要的无量纲参量,比如在磁合并过程中,常用外场的
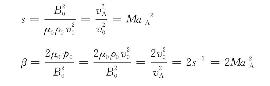
作为度量磁合并率的参数。等离子体β数定义为动压与磁压之比。当β≫1时,运动受磁场的影响很小,而当β≪1时,磁场对运动起控制作用。根据具体情况还可引入其他与磁场和电导率有关的无量纲组合量,例如柯林数s=
。柯林数s可以看作磁压与动压之比,或阿尔文速度与流速之比。s≪1,磁场对运动的影响很小,s≫1,磁场对运动起控制作用。
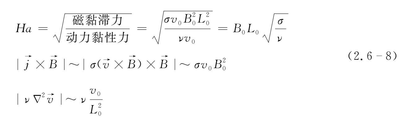
当考虑有黏性的磁流体力学时,常需要讨论磁黏滞力与动力学黏性力的相对大小。定义哈特曼数Ha为
哈特曼数大,磁黏性的作用比动力黏性的作用重要。
磁流体力学中还经常用到另一无量纲量Prm,称为磁普朗特数,Prm=
,即磁雷诺数与雷诺数之比。Re为流体力学中无量纲量雷诺数,Re=
(为运动方程中惯性项与黏性项之比)。
它给出了黏性耗散与磁耗散的相对重要性。
还有一个叫作伦德奎斯特数(Lundquist数)的无量纲量,当磁场作用与流场作用相当时,流体运动速度的典型值为阿尔文速度时,即在磁雷诺数中,取v A 为流速的典型值时,就得到所谓的伦德奎斯特数Lu:
总之,磁流体力学中引进了许多无量纲量,它们描写磁流体力学中耦合过程的不同侧面。但是,由于只增加了电导率σ和磁场
两个参量,所以只有两个组合量是独立的。例如:
为使读者对所引入的无量纲参量有个量的认识,我们以太阳黑子上空为例,在太阳大气里(
=0.6,γ=
)
式中L 0 、v 0 、n 0 用米、千克、秒单位制,B 0 用高斯单位制,lnΛ为库仑对数,可查表获得(见表1.1)。例如对太阳黑子特征值L 0 ≈10 7 m,v 0 ≈10 3 m s -1 ,t 0 ≈10 4 K,n 0 ≈10 20 m -3 ,B 0 ≈10 3 G,则相应的磁雷诺数Rm ≈3×10 7 ,声速c s ≈2×10 4 m s -1 ,马赫数Ma ≈0.05,阿尔文波速v A ≈3×10 5 ms -1 ,对应的磁马赫数为Ma A ≈4×10 -3 ,等离子体β数为β≈3×10 -3 。β随离太阳表面的高度的升高迅速下降,而阿尔文速度迅速升高。在光球层(β>1)等离子体运动决定磁场,而在日冕里(β<1)运动由磁场决定。
前面讨论的方程组是用矢量形式给出的,在具体应用时,需要根据问题的特点,选择合适的坐标系。最常用的直角坐标系(x,y,z),其中的单位矢量
,
、
是固定不变的。但研究天体在宇宙空间中的运动或研究其物理特性时,选取柱坐标或球坐标更为方便。而在这些曲线坐标系中,某些单位坐标方向随空间变化。因此,将基本方程组展开成曲线坐标的分量时,除了对坐标系中物理量的大小进行矢量分析运算外,对坐标系的单位方向也要进行运算。关于三个常用坐标系(直角坐标系、圆柱坐标系、球坐标系)中微分算子的具体表达式见附录二。