



上一节讨论了导电流体的运动对磁场的影响,这一节将研究洛伦兹力对导电流体的作用,这是流场和磁场耦合的另一方面。
磁场对导电流体的作用力称为安培力或洛伦兹力。单位体积导电流体所受到的洛伦兹力
为
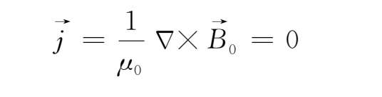
在不考虑位移电流情况下,安培定律
×
=
,于是(2.5-1)式变为
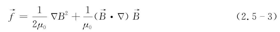
由(2.5-1)或(2.5-2)式表示的磁力是一个体积力(或称体力),它是作用在单位体积导电流体上的有质动力。
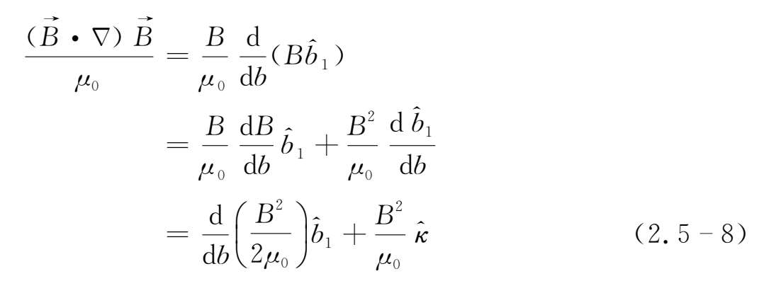
为了分析洛伦兹力的作用性质,由矢量运算公式
=
,于是(2.5-2)式变为
上式右端第一项与场强值的梯度有关,而第二项则与磁力线的形状有关。再由矢量公式
=
,并
=0,则(2.5-3)式化为
式中
即为磁应力张量(麦克斯韦应力张量的磁场部分)。于是作用在外法线为
的单位面积上的磁场应力为
利用(2.5-4)和(2.5-6)式,计算作用在体积为V的导电流体上的洛伦兹力为
S为包围体积V的闭合曲面,(2.5-7)式表明,作用在体积为V的导电流体上的磁体积力,在作用效果上可被看作作用在包围体积V的封闭曲面S上的面力,其磁应力由(2.5-6)式确定。
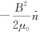
(2.5-6)式表明,磁场应力可分为两部分:第一部分为
,其大小为
,而方向总是沿所取面元外法线的反方向,即垂直指向导电流体内部,这与一般流体的静压强相似,称作“磁压强”;第二部分为
,其方向与所取面元的方向无关,总是沿磁力线的正向或反向,当
>0时沿磁力线方向,而当
<0时沿磁力线的反向,但大小与所取面元的方向有关,取决于
值的大小,这种沿磁力线方向的应力,在性质上完全类似于作用在弹性弦上的张力,所以通常叫作磁张力。
在应用磁场应力分析问题时,必须十分小心。由于它们是面力,其力学效应必须由磁场的梯度或磁力线的弯曲程度所决定。
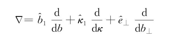
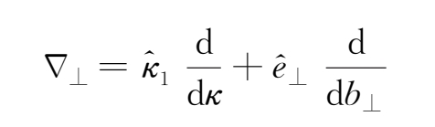
下面给出磁张力和磁压力在磁力线坐标系(
,
,
)中的表达式。
为磁力线方向的单位矢量,
为磁力线某点的曲率中心方向的单位矢量,
为垂直于
和
并与之满足右手螺旋定则方向的单位矢量。
令
,则磁张力
曲率
=
=
=
=
是磁力线上某点的曲率,其绝对值为κ=
,而方向则指向磁力线上此点的曲率中心(见图2.9),R
c
为曲率半径。当磁力线是一根直线时,其上各处的曲率κ均为零,此时磁张力也处处为零,和磁场的强弱无关。当磁力线弯曲时,例如从图2.10中的
处来看,这时指向曲率中心的磁张力可以看成由两个沿着磁力线正、反方向的分力合成的合力。
图2.9 磁力线坐标系
图2.10 磁张力
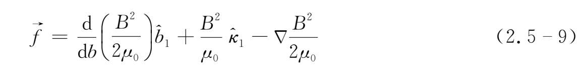
洛伦兹力在磁力线坐标系中的表达式为
式中
又
则(2.5-9)式为
(2.5-10)式表明,磁压力只体现在垂直于磁场的方向上,在平行于磁场的方向上并不显示存在磁压力,磁张力的作用是以合力的形式体现出来的。
下面举一例题,让读者了解磁场应力概念的具体应用。
例题:考虑
=
和
=
(
>1)时的磁位形和等离子体元中所受的洛伦兹力。
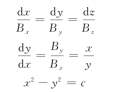
=
时,
则
磁力线方程
图2.11 处于平衡态时X型中性点附近的磁力线分布
如图2.11所示,相交渐近线y=±x互为直角,原点叫作X型中性点。在该磁场位形中的任意的等离子体元如图中阴影部分所示,所受的洛伦兹力为零,此时所受的张力T与所受的磁压力总效应相消。
再考虑
=
,此时的磁力线方程为y
2
-α
2
x
2
=c如图2.12所示。渐近线y=±αx,此时不再正交。显然在x轴上,较之图2.11磁力线的间距变密,又磁力线的弯曲度变小,所以所受磁压力增强,向外的磁张力变弱,总的合力R在x轴为向原点的磁压力。在y方向上,磁压力不变,而磁张力由于此时磁力线更弯曲而增强,所以在y轴方向,总的合力R是向外的,如图2.12所示。
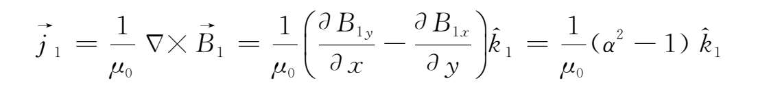
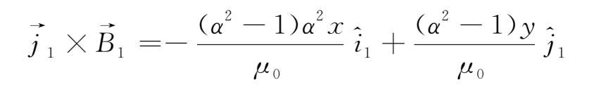
此时电流密度
所受洛伦兹力为
所得结果与上述定性分析是一致的。由以上分析可知当磁场位形为
时,等离子体元处于平衡态,若受某种扰动,当磁场位形为
时,此时等离子体元就处于不稳定状态了。磁压力、磁张力对洛伦兹力的形象描述,使我们可以很方便直观地分析磁流体力学的某些问题,而不必求解磁流体力学方程。也可利用观测所得的天体磁场位形,在不需要求得电流分布的情况下,直接讨论等离子体的受力情况和运动情况。
图2.12 受扰动后X型中性点附近的磁场位形
在应用磁压力、磁张力分析问题时,必须十分小心。由于它们是面力,其力学效应必须由磁场的梯度、磁力线的弯曲程度所决定。例如,对于均匀磁场
,尽管存在磁压力
和磁张力
,但由于
=0,
=0,故磁场对导电流体的作用为零。只有在磁场非均匀时,例如由于磁场梯度的存在,磁力线弯曲,才有磁力的作用。
洛伦兹力
由于与磁场垂直,故不直接影响流体沿磁力线的流动。其对于流体沿垂直于磁力线方向的运动的影响,则因视电导率σ或磁雷诺数Rm的大小而有所不同,也即视磁力线几乎冻结于流体中或当考虑有限扩散系数η
m
时磁力线能较自由地在流体中滑动而有所差别。
当考虑几乎冻结的情况(σ≫0),此时流体的运动主要受磁场的控制,故
的效应通过磁场的麦克斯韦应力来表达。如前所述,在与磁力线垂直的方向中有压强,故磁场阻碍了流体的横向压缩;沿磁力线的方向有张力,故磁场阻碍了流体沿磁场方向的伸长。当σ→∞时,磁力线冻结于流体中,欧姆定律(2.3-5)式为
由上式可知此时必须有
。(2.5-11)式成立时可定义“磁力线速度”的概念(这一概念只有当磁力线冻结在流体物质中才有精确的定义),此时磁力线的速度
即流体的速度
,故由(2.5-11)式可知,磁力线或流体垂直于磁场方向的分速度为
即增强磁场使流体垂直于磁场方向的运动减慢。
当考虑电导率σ有限时,此时
由σ通过(2.3-5)式而确定。故
式中
和
分别为
和
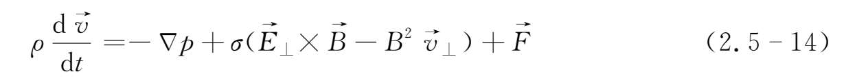
垂直于磁场的分量。暂且忽略黏性,代入运动方程(2.2-9)式得
为除压强梯度力和洛伦兹力外的外力。若
、
、
都小到可以忽略,则(2.5-14)式简化为
上式表明流体在垂直于磁场方向的运动因磁场的阻尼效应而衰减,衰减的弛豫时间为
当
、
不能忽略时仍将有类似的结果,此时(2.5-14)式可写成
其中
=(
),而
如(2.5-12)式所示一样,(2.5-18)式也是磁力线运动速度。由(2.5-17)式可知流体原来的流动以(2.5-16)式所给的弛豫时间趋向于使流体相对于磁力线的横向运动达到
当
不存在时,则以(2.5-16)式所给的驰豫时间趋向于使
=
,即使此相对运动消失。从数量级上看,流体流过所考察区域的特征时间为
(L、v分别为考察区域的特征尺度和特征速度),故当
当N值很大时,亦即σ和/或B很大时,相对运动不显著,此时归为冻结情况;当N值小时,亦即σ和/或B很小时,横越磁力线的相对运动才显得重要。总的来说,
的力学效应仍然阻碍物质横越磁力线的相对运动,仅在N很小或当
存在时,此时
将以这样的速度
拖着流体物质横越磁力线,亦即两者之间可以滑动,此时磁黏性阻尼和
平衡维持了(2.5-19)式所给出的相对滑动。