



对于宇宙等离子体,麦克斯韦方程组中的介电常数ε和磁导率μ一般可用真空值作很好的近似,因此在宇宙等离子体物理中,一般使用真空中的麦克斯韦方程组。
法拉第方程:
安培定律:
忽略位移电流时,安培定律简化为
高斯定理:
磁场的高斯定理:
此处ρ
q
和
分别表示“自由”电荷和电流密度。式中μ
0
=4π×10
-7
H/m为真空磁导率,
=8.854×
F/m为真空中的介电常数,c=
≈2.298×
m/s,
的单位为V/m,
的单位是T(特斯拉),
的单位是A/m
2
和
的单位是m/s。电磁学的单位制因历史的原因,至今最常用的是国际单位制和高斯制两种,关于单位间的公式变换和单位换算参见附录一。
要由麦克斯韦方程组单值地确定电磁场,必须给定电流密度
(
,t),或者把电流密度与方程组里所包含的其他量联系起来,将电流密度
、电磁场强度及确定导电介质性质与运动的参数联系起来的关系通常称为广义欧姆定律。大多数情况下,可将等离子体当作单一的导电流体来考虑,此时欧姆定律为
式中σ为电导率,
为等效电场,其他物理量具有通常意义。
然而,对于那些远未达到热力学平衡的完全电离等离子体,必须分别考虑各种成分气体的运动及它们之间的耦合。下面讨论完全电离等离子体情况下,即它由电子气和离子气两种成分组成,由二流体模型来导出完全电离等离子体中联系电流密度和其他量之间关系的表达式。
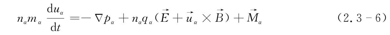
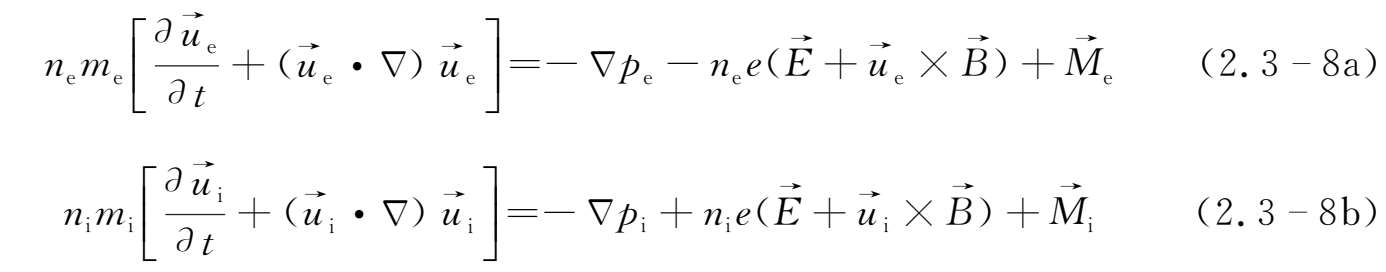
等离子体二流体描述的方程组的严格推导必须借助于动理论。但也可以从流体力学和电动力学的考虑直接写出。以下考虑最简单的模型,即认为电子气体和离子气体各自独立地运动着,因而对每种成分可分别写出它们的流体运动方程,不同成分之间由于碰撞而产生的相互作用,则可以归结为某个平均的体积力,它的大小等于电子和离子在碰撞时动量变化率的平均值。此外,认为电子气体和离子气体都是理想气体,因而它们的内部应力只有压力。这时,可直接写出电子气和离子气的运动方程:
α=e,i分别表示电子、离子气体,q
α
是α成分粒子的电荷,m
α
、n
α
分别为α粒子的质量和数密度,于是n
α
m
α
、n
α
q
α
和n
α
q
α
u
α
将分别表示α成分流体的质量密度、电荷密度和电流密度,
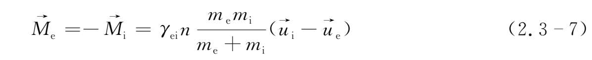
为两种流体之间互作用的耦合项。根据理论力学可合理地假定
式中γ ei 表示电子和离子间的平均碰撞频率,并且假定粒子由于碰撞而偏转时,在任何偏转角上的几率都相等。
由(2.3-6)式,当α=e,i时,有
考虑到①等离子体的电中性即n
e
=n
i
=n;②等离子体宏观运动速度是小量,故可略去
、
及其微商的二次项;③
≪
,故可略去与
有关的项。以
乘(2.3-8a)式,
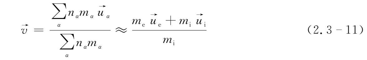
乘(2.3-8b)式,然后相减,并考虑上述条件,则单流体模型下的宏观物理量与二流体模型下相应物理量的关系为
密度:
动量:
速度:
电流密度:
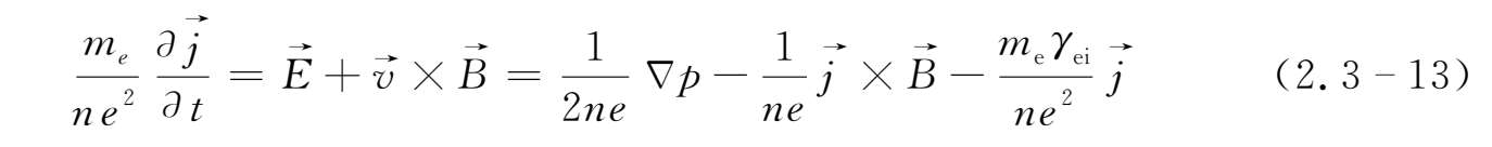
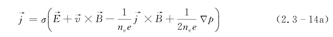
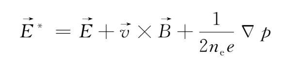
即可得到完全电离的等离子体中的广义欧姆定律
(2.3-13)式就是所谓的广义欧姆定律。(2.3-13)式右方各项分别对应洛伦兹力、热压力、霍尔电动力和电阻效应的贡献。由此可见,在最一般的情况下,等离子体中的电流不仅与等离子体本身的物理性质(如电导率)和电场强度有关,还取决于被研究问题的力学特征(如速度、压力等)和磁场强度的大小。在稳态
时,(2.3-13)式可简化为
(2.3-14a)式亦可写成
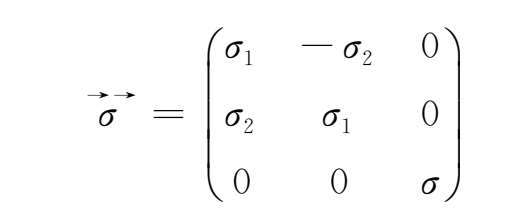
上式中
为等效电场,
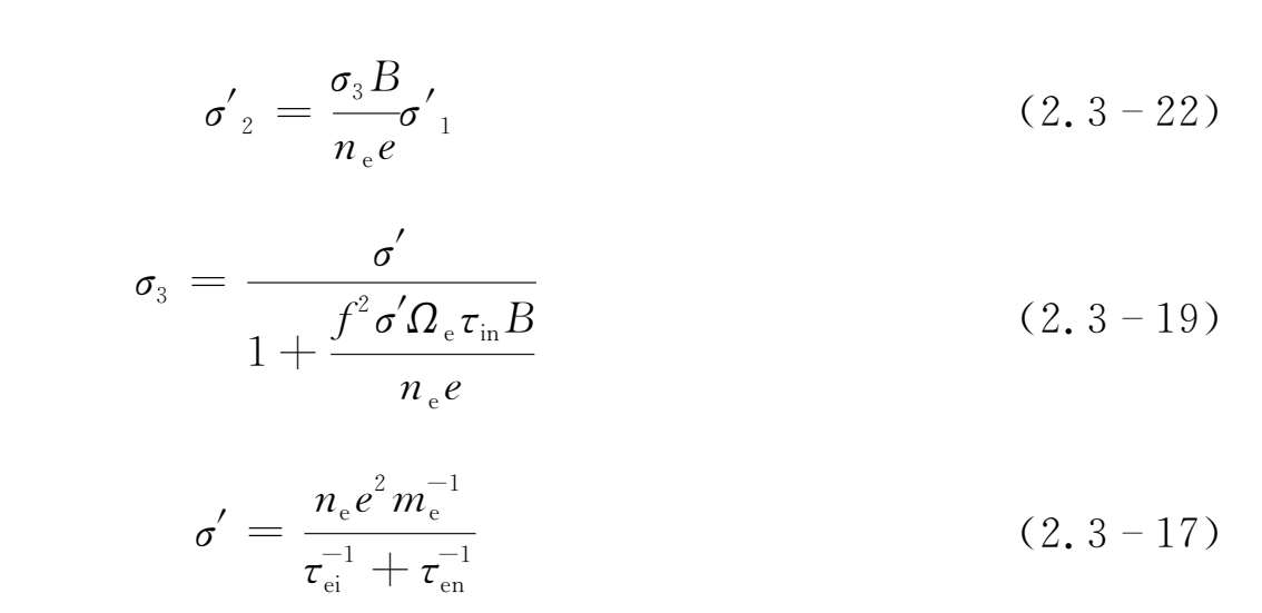
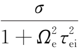
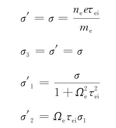
为电导率张量,
其中σ为不考虑磁场或平行于磁场方向时的电导率,σ=
,
为直流电导率(或横向电导率),
=
,
为霍尔电导率,
=
,
为电子在磁场中的回旋频率,
为电子和离子两次碰撞之间的自由运动时间。
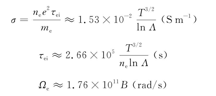
在完全电离的等离子体中,平行于磁场方向的电导率σ和电子与离子两次碰撞之间的自由运动时间,及电子回旋频率的近似表达式为
其中lnΛ为库仑对数,T为温度,n e 为电子数密度,B为磁场强度。
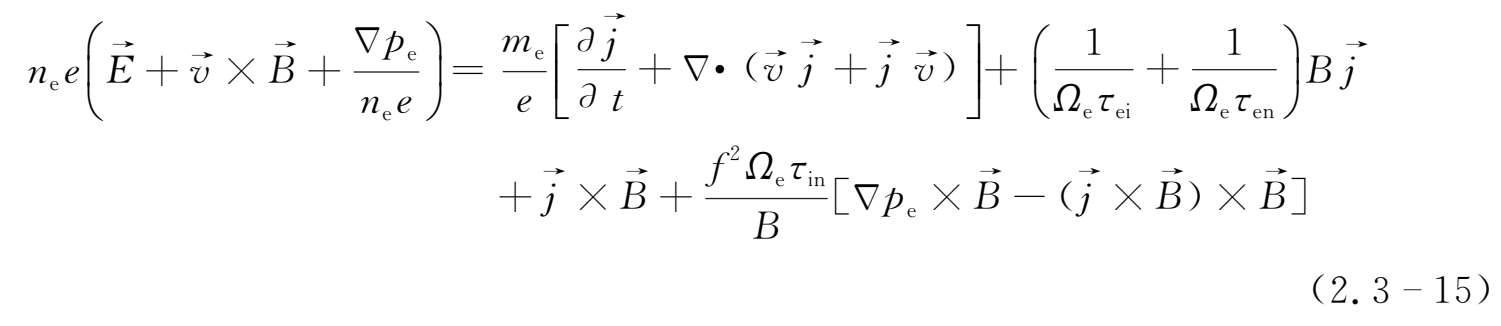
实际等离子体由三种成分——电子、离子、中性粒子的气体所组成。故当我们考虑部分电离等离子体或弱电离等离子体区域时,必须考虑电子、离子和中性原子的三流体模型。假定
≈
≈n,又
≫
,
≈
,
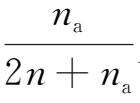
为中性原子的质量,令电离度f=
,
为中性原子数密度,则总压强为p=
+
+
,
为中性原子压强。考虑到平衡时
≈
≈
p,
=
p,则部分电离等离子体中的广义欧姆定律为
式中
是质心速度,Ω
e
为电子回旋频率,τ
ei
是电子与离子的碰撞时间,τ
en
和τ
in
分别为电子、离子与中性原子的碰撞时间。
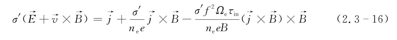
在许多实际应用中,当考虑问题的特征时间远大于粒子在相继两次碰撞间即T≫max{τ ei ,τ en ,τ in }时,部分电离气体中的广义欧姆定律可简化为
此处
为无磁场时或平行于磁场方向的部分电离气体中的电导率。
由(2.3-16)式,当电流平行于磁场时,(2.3-16)式可简化为
=
=
,
=
为等效电场。当电场垂直于磁场时,则
=0,考虑到(
×
)×
=
(
)-
,(2.3-16)式可简化为
式中
称为柯林电导率,定义为电流j与电流方向的电场分量
之比,方程(2.3-18)式亦可写为
式中
为直流电导率,
为霍尔电导率,
故部分电离气体中电导率张量
为
显然当不考虑中性原子时,即n a =0,τ in =τ en =0时
此时部分电离等离子体中的电导率张量
还原为
,即(1.2-31)式。
由方程(2.3-18)式可知,部分电离气体中的能量耗散率为
=
,由于
≤σ,所以
大于完全电离气体或无磁场时的能量耗散率
。
以上麦克斯韦方程组隐含了电荷守恒方程
+
=0,可以对(2.3-2b)式取散度来直接证明。麦克斯韦方程组是线性方程组,这是电磁场可以叠加的必要条件。必须指出麦克斯韦方程组是不封闭的,通常要引入介质的电磁性能方程或必须联立介质运动方程等才能使之封闭。