



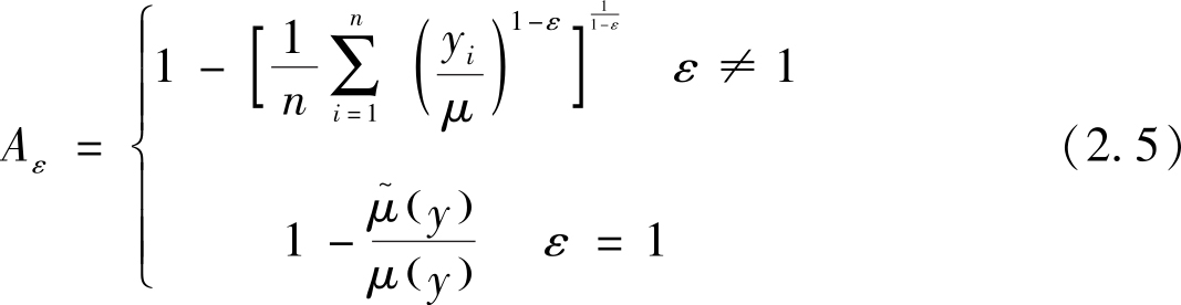
Atkinson(1970)提出了阿特金森指数,其形式如下:
其中,
ε
为不平等厌恶指数,常选用0.25、0.5和0.75等值,美国人口调查局公布的阿特金森指数就选用了0.25、0.5和0.75三个数值。
μ
、
分别为数学平均值和几何平均值。
阿特金森指数建立在边际效用的弹性为常数的基础上,该常数即为不平等厌恶指数,其推导过程可参考Atkinson(1970)、Villar(2017)。
利用前面的收入数据计算阿特金森指数,其过程如表2-8所示。
表2-8 阿特金森指数计算示例
注意此处的计算过程并没有求和,而是直接利用了电子表格的平均值函数。
阿特金森指数很容易编程实现,也可利用R语言ineq包中的Atkinson函数来计算。