



本节我们主要介绍弹性论、乘数论、吸收论与货币论四种国际收支调节理论。
国际收支弹性论又称国际收支的弹性分析法,该理论由琼·罗宾逊(Joan Robinson)提出,后经阿尔弗雷德·马歇尔(Alfred Marshall)、阿巴·勒纳(Abba Ptachya Lerner)进一步阐发,成为金本位制崩溃后第一个关于国际收支的理论。
1.假设前提
国际收支弹性论的假设前提有:
(1)没有国际资本流动,国际收支等同于贸易收支。
(2)采用局部均衡分析法。假定其他条件都不变,仅分析汇率变动对进出口商品价格与数量的影响。
(3)进出口商品的供给弹性无穷大,即出口商品的本币价格与进口商品的外币价格不变;一国贸易收支最初是平衡的。
根据弹性的定义,出口商品的需求弹性可以表示为:
进口商品的需求弹性可以表示为:
式中, X 表示出口商品的数量; P X 表示出口商品的外币价格; M 表示进口商品的数量; P M 表示进口商品的本币价格。
在直接标价法下,出口商品的外币价格
,进口商品的本币价格
P
M
=P
*
·
e
(
P
表示出口商品的本币价格,
P
*
表示进口商品的外币价格,
e
表示直接标价法下的本币汇率,即以本币表示的外币价格)。由于进出口商品的供给弹性无穷大,即
P
与
P
*
不变,故:
2.马歇尔-勒纳条件
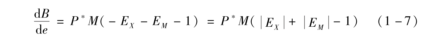
国际收支差额(贸易差额) B 可以表示为: B=PX-eP * M ,初始时国际收支平衡即 PX=eP * M 。故:
而
,所以
已知初始为平衡: PX=eP * M ,代入上式可得:
由于
P
*
>0,
M
>0,由式(1-7)可以看到如果要求贬值后国际收支得到改善即
,就要有:
。这就是著名的马歇尔-勒纳条件,它说明了贬值能够带来国际收支改善的必要条件是:在供给弹性无穷大的情况下,一国进出口商品需求弹性的绝对值之和大于1。
3.贬值与时滞反应——J曲线效应
弹性分析法只是一种比较静态的分析方法,而忽视了“时滞”(timelags)因素。这种缓慢调整产生了所谓的“J曲线效应”,如图1-1所示。
图1-1 贬值的J曲线效应
图1-1中的时滞反应可以分为三个阶段。(1)货币合同阶段。在此阶段,由于贬值前签订的合同仍然有效,故贬值并不能立即使贸易收支发生改变。(2)传导阶段。①认识时滞。本币贬值后,进口商不会立即得知出口商品价格下降的消息。②决策时滞。进出口商在认识到货币贬值带来的商品价格变动后,需要一定的时间来判断价格变化的重要性,进而做出改变进出口商品数量的决定。③生产时滞。面对出口商品需求的增加,国内生产商筹集闲置资源扩大生产需要一定的时间。(3)数量调控阶段。出口供给和进口需求进行相应调整后,进出口商品的数量变动幅度超过了进出口商品的价格变动幅度,贸易收支开始慢慢改善。
4.评价
国际收支弹性论是在国际金本位全面崩溃及20世纪30年代全球性经济危机的背景下产生的。弹性分析法考察货币贬值的价格效应,强调汇率在改善贸易条件、平衡国际收支方面的作用,直接关注政府面对严重国际收支逆差时采取的经济政策。直至今天,在实行严格资本管制的国家,货币贬值的价格效应仍然是其改善国际收支时所遵循的政策依据。
国际收支弹性论的局限性主要表现在:①该理论只是建立在局部均衡分析的基础上,只考察汇率变动对一国贸易收支的影响,而假定其他条件保持不变。但实际上,其他条件并非不变。②该理论没有涉及国际资本流动,在国际资本流动规模巨大的今天,其局限性就表现得非常突出。实际上,本币贬值不仅会影响贸易收支,还会影响资本与金融账户收支。③在实际运用中,计量进出口各类商品弹性、商品的结构存在技术上的困难。④该理论采用的只是一种比较静态的分析方法,而在现实中本币贬值对贸易收支的影响则是一个动态过程。正是由于存在以上局限性,国际收支弹性论常常被认为是较为肤浅和不够全面的。要对国际收支问题进行更为全面深入的研究,必须考察估计收支与整个宏观经济间的关系,这也成为建立在凯恩斯宏观经济学基础上的国际收支乘数论和国际收支吸收论的理论出发点。
国际收支乘数论由马克卢普(Machlup)、哈罗德(Harrod)等经济学家提出,他们基于凯恩斯宏观经济分析框架,从国民收入恒等式出发,着重从收入角度研究贸易收支问题,揭示了国际收支的收入调节机制,对国际收支理论的发展起到了重大作用。
1.假设前提
国际收支乘数论的假设前提有:
(1)汇率与价格不变,仅考虑收入变动的影响;
(2)没有国际资本流动。
2.理论内容
乘数论者认为,一国的进出口支出是国民收入的函数,自主性支出的变动将通过乘数效应引起国民收入的变动,进而影响进出口支出和国际收支。开放经济条件下凯恩斯主义的国民收入决定模型:
其中, c 表示边际消费倾向, m 表示边际进口倾向, C 0 表示自主性消费, I 表示居民投资, G 表示政府购买, M 0 表示自主性进口。在不考虑国际资本流动的前提下,根据式(1-8)我们可以得到:
在式(1-8)和式(1-9)中,自主性部分构成被乘数,而受收入影响的诱发性部分则影响乘数的大小。式(1-9)表明,一国可以通过需求管理政策来调整国际收支:当国际收支出现逆差时,一国政府可以实施紧缩性财政政策或货币政策来抑制 I 或 G ,从而改善国际收支逆差。通过收入变动调节国际收支的效果,取决于边际进口倾向 m 的大小与进口需求收入弹性和一国开放程度的高低。由式(1-8)和式(1-9)可以看出,出口除了对收入增加具有乘数作用还可以改善国际收支。乘数论的这种政策主张被称为“新重商主义”。
3.评价
国际收支乘数论阐述了进出口贸易与国民收入之间的关系,以及各国经济之间通过进出口途径相互影响的原理,为政府通过需求管理政策调节国际收支失衡问题提供了理论依据。
国际收支乘数论也存在一些缺陷。首先,它没有考虑资本的国际流动,对国际收支的分析并不全面。其次,它没有考虑货币量与价格因素,即没有考虑进出口的变化可能带来的货币量变化,以及在充分就业状态下由此引发的物价变化。最后,它仅仅考虑了进口的收入弹性,简单阐述了收入变动与国民收入变动之间的关系,没有深入考虑进出口对整个宏观经济的影响,仍然是一种局部分析。
国际收支吸收论由经济学家西德尼·亚历山大(Sidney Alexander)与詹姆斯·米德(James E.Meade)提出。
1.假设前提
国际收支吸收论假定:
(1)汇率与价格不变,仅分析收入对国际收支的影响;
(2)没有国际资本流动。
2.理论内容
国际收支吸收论者认为,弹性既非固定又非可测,因此他们主张采用收入水平和支出行为来分析贬值对国际收支的影响。其分析在凯恩斯总需求模型的基础上展开:
用 A 表示国内总吸收即 A = C + I + G , B 表示国际收支差额,则由式(1-11)可以得出:
式(1-12)就是国际收支吸收论的基本公式。该式说明:国际收支不平衡的根本原因是国民收入与国民支出的总量失衡。若 Y > A ,则国际收支顺差;若 Y < A ,则国际收支逆差。
亚历山大分析了贬值对国际收支的影响。他将吸收分为诱发性吸收(与收入相关的吸收)和自主性吸收(独立于收入之外的吸收):
其中, c 为边际吸收倾向, D 为自主性吸收。于是有:
式(1-14)表明,贬值将对三方面造成影响:实际收入水平Δ Y 、国内吸收水平Δ D 以及边际吸收倾向 c (每增加一单位国民收入用于吸收的百分比)。
基于式(1-12),吸收论者提出了他们的政策主张:增加产量 Y 的支出转换政策和减少支出 A 的支出增减政策。前者可以通过本币贬值、贸易管制,将对进口商品的需求转向国内商品;后者可以通过货币限制、预算限制甚至直接控制来改善国际收支,但是往往会增加失业并减少收入。
以本币贬值为例。当一国处于非充分就业状态时,如果该国国际收支出现逆差,本币贬值,国内生产商就可以获得足够的资金与人力资源来扩大生产,使出口增加,
Y
与
A
也随之增加。当边际吸收倾向
c
<1即
时,Δ
B
>0,国际收支逆差得到改善。
3.评价
国际收支吸收论建立在宏观的、一般均衡的基础上,比微观的、局部的弹性分析法有所进步,并强调了政策配合的意义,不过,它仍有不足之处,表现在:
(1)没有为国内支出为因、国际收支为果的观点提供逻辑分析;
(2)没有考虑相对价格变动在调整中的作用;
(3)没有考虑在充分就业状态下,贬值可能引发资源配置效率提高对国际收支的影响;
(4)没有考虑国际资本流动因素。
20世纪60年代末70年代初,西方各国出现的“滞胀”局面,使凯恩斯主义者受到沉重的打击,取而代之的是货币主义的兴起。罗伯特·蒙代尔(Robert A.Mundell)和哈里·约翰逊(Harry G.Johnson)等将起源于芝加哥学派的国内货币主义向国际金融领域延伸和扩展,形成了国际收支货币论。
1.假设前提
国际收支货币论的假定条件如下。
(1)一国经济处于长期充分就业均衡状态,其实际货币需求是实际收入和利率等变量的稳定函数。
(2)购买力平价长期成立,即存在一个高效率的世界商品市场和资本市场,由于完全自由的套利活动,使“一价定律”得以成立,一国的价格水平和利率水平等于世界市场水平。
(3)从长期来看,货币供给量的变化不会影响实物产量,即货币中性。
2.理论内容
货币论者认为,国际收支失衡是由货币市场失衡所引起的,国际收支问题在本质上是一个货币问题。以 M S 表示名义货币供给量, M D 表示名义货币需求量,则从长期来看有:
而一国的货币供给总量为:
其中, m 为货币乘数, D 为一国基础货币的本国部分(国内信贷量), R 为该国基础货币的外国部分(国际储备量)。
若将 m 忽略,则由式(1-16)可得:
又由式(1-15)与式(1-17)可得:
式(1-18)是国际收支货币分析法的基本方程式。由该式可以看出:①国际收支是一种货币现象,国际收支失衡是由货币市场失衡引起的。当 M D >D 时,国际收支顺差;当 M D <D 时,国际收支逆差。②国际收支问题实际上反映的是实际货币余额(货币存量)对名义货币供应量的调整。当国内名义货币供应量与实际经济变量(国民收入、产量等)所决定的实际货币余额需求相一致时,国际收支便处于平衡状态。
货币论在考察贬值对国际收支的影响时,有如下基本公式:
式中, e 为直接标价法下的本币汇率, P 为本国价格水平, y 为国民收入, i 为利率, f ( y , i )为对实际货币存量(余额)的需求, Pf ( y , i )为对名义货币的需求。
当本币贬值时, e 值上升,由此引起国内价格 P 上升。 e 和 P 同时上升,为使等式两边相等, f ( y , i )必须相应地下降,这表示对实际货币余额需求的下降。或者 f ( y , i )不下降,但 M D 必须相应地增加,从而使国际收支产生顺差(或逆差减少)。由此,可将货币论关于贬值的公式[式(1-19)].归结为:贬值引起贬值国国内价格上升、实际货币余额减少,从而对经济产生紧缩作用。若要通过货币贬值改善国际收支,则在贬值时,国内的名义货币供应不能增加。因为, R = M D - D ,若 D 与 M D 同时增加,则贬值不一定能改善国际收支失衡。
国际收支货币论者主张国际收支失衡问题可以由国内货币政策来解决:扩张性的货币政策(增加 D )可以减少国际收支顺差,紧缩性的货币政策(减少 D )可以改善国际收支逆差。他们认为:为调节国际收支失衡而采取的贬值、进口限额、关税、外汇管制等措施,只有当它们的作用是提高货币需求,尤其是提高国内价格水平时,才能改善国际收支失衡,而且这种改善是暂时的;如果在施加干预措施的同时增加国内货币供应,则国际收支失衡不一定能得到改善,甚至有可能恶化。
3.评价
货币论认为,只要保持货币供应的适度增长,就可以保持国际收支平衡,这对高度货币化的当代经济具有实际意义。然而,货币论也有一定的缺陷。①过分突出了货币因素对于决定国际收支起到的作用,而把收入、支出及贸易条件等其他因素看成次要的,这实质上是把现实的经济因果关系颠倒了。②假定货币需求是一个稳定的函数及货币供给不影响实物产量,这与实际经济不符。③认为要改善国际收支逆差必须采取紧缩性货币政策,这显然是以牺牲国内的实际消费、投资、收入与经济增长为代价,这一点受到了许多发展中国家经济学家的批评。