



线性表链式存储结构的另一种表现形式,就是循环链表。
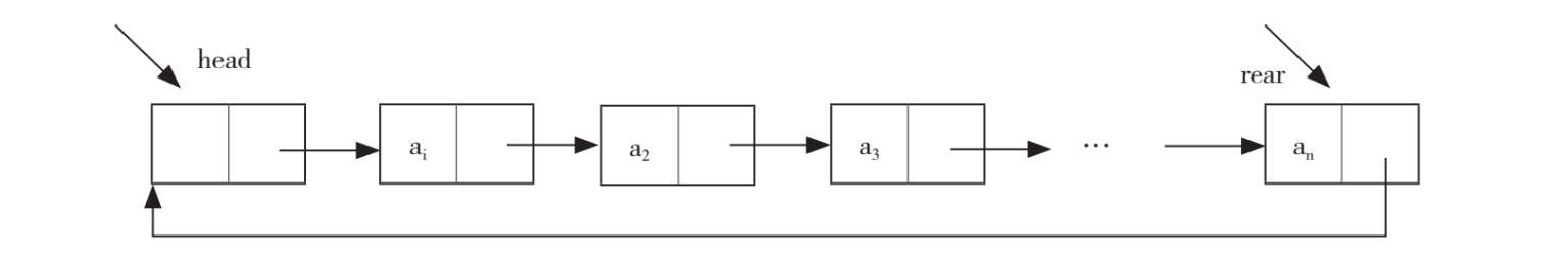
对于单链表而言,最后一个结点的地址域是空,如果表中最后一个结点的指针域指向头结点,整个链表形成一个环,就构成了单循环链表,如图2.19所示。
图2.19 带头结点的单循环链表
循环链表的操作基本上和非循环链表相同,只是将原来判断指针是否为空变为判断是否是头指针,没有其他较大的变化。
访问单链表中某一结点每次只能从头开始顺序向后遍历,而访问单循环链表中某一结点,可以从任何一个结点开始,顺序向后遍历到达要访问的结点。
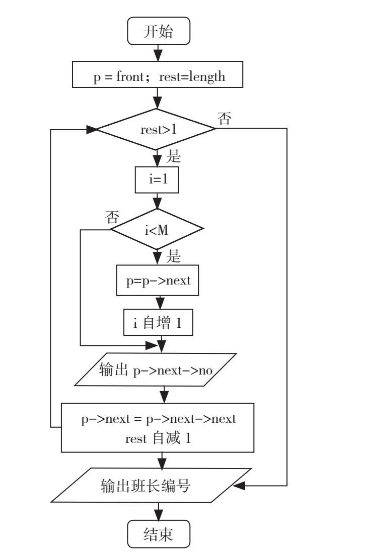
【例2.6】1200101 班每个学生都有学号,分别是1,2,3,...,n,所有同学按学号顺序围坐一圈,从第1 开始数,每数到第m个,该同学就要离开此圈,这样依次下来,直到圈中只剩下最后一位同学,则该同学就为班长。
算法思想:使用单循环链表数据结构模拟问题,每个结点是一位同学,结点的值域为该同学的学号,总共n个结点。遇到出列的结点则删除该结点。如此循环,直到只剩下最后一个结点为止。最后输出该结点的学号。
从循环链表中选择一个数据元素为班长,其中front为循环链表头指针,rear为循环链表表尾指针,length为链表的长度,rest为圈中剩余同学的个数,M为数到第M个,该同学结点就被删除,则选取流程图如图2.20所示。
图2.20 选取流程图
代码首先定义循环链表的结点,为方便起见,结点中只保存编号:
再实现循环链表,为了方便测试,循环链表中同时实现了增加结点和输出链表各结点编号,具体代码如下:
最后写驱动代码测试循环链表: